12주간 수중·지상 재활운동이 아동·청소년 뇌병변장애인의 정서변화에 미치는 영향
The Effects of a 12-Week Aquatic and Land-Based Rehabilitation Exercise Program on Emotional Changes in Children and Adolescents With Cerebral Palsy
Ko, Ji-Hyun1; Ryu, Kwang-Min1,2*
Korean Journal of Sport Science, Vol.36, No.4, pp.513-524, December 2025
https://doi.org/10.24985/kjss.2025.36.4.513

© The Korean Institute of Sport Science. All rights reserved.
This is an open-access article distributed under the terms of the Creative Commons Attribution Non-Commercial License (http://creativecommons.org/licenses/by-nc/4.0/) which permits unrestricted non-commercial use, distribution, and reproduction in any medium, provided the original work is properly cited.
Abstract
PURPOSE This study investigated the neurophysiological and emotional impact of exercise in children and adolescents with cerebral palsy. METHODS Fourteen participants, aged 10–18 years, completed a 12-week rehabilitation program. The program consisted of 60-minute aquatic or land-based exercise sessions, conducted three times per week. RESULTS EEG analyses revealed that the aquatic exercise group experienced significant increases in theta, low-alpha, and high-alpha activity over time. Positive changes were also observed in several subscales of the Exercise- Emotion Scale, specifically fun, pride, vitality, catharsis, and achievement. These results suggest that the unique sensory characteristics of the aquatic environment— buoyancy, hydrostatic pressure, and temperature—may promote emotional stability and neural activation. However, frontal alpha asymmetry (FAS) did not differ significantly between the groups, indicating that neither intervention produced marked changes in motivational tendencies such as approach or withdrawal. CONCLUSIONS These findings support the potential of aquatic rehabilitation as an effective emotional intervention and emphasize the importance of incorporating long-term, neurophysiologically integrated approaches in future research.
초록
[목적] 본 연구의 목적은 아동·청소년 뇌병변장애인을 대상으로 12주간 재활운동을 진행하는 동안 운동 참여가 정서적 측면에 미치는 영향을 뇌과학 및 신경생리학적으로 규명하는 것이다.
[방법] 연구 참여자는 10~18세 아동·청소년 뇌병변장애인 14명을 대상으로 3개월간 주 3회 60분 수중운동과 지상 재활운동 프로그램을 진행하였다.
[결과] 분석한 결과, 수중재활 집단은 세타파, 로우알파파, 하이알파파에서 재활 기간에 따른 유의한 증가를 보였으며, 운동-정서 척도의 하위 요인인 재미, 긍지, 활력, 정화, 성취에서도 긍정적인 변화가 나타났다. 이는 수중 환경이 부력, 수압, 온도 등의 감각적 자극을 통해 정서적 안정과 뇌 기능 활성화에 효과적임을 시사한다. 반면, 전두엽 알파파 비대칭성(FAS) 에서는 집단 간 유의한 차이가 나타나지 않아, 두 재활 운동이 접근 동기나 철회 동기와 같은 전두엽 기반 동기 지표에는 뚜렷한 영향을 미치지 않았음을 보여준다.
[결론] 본 연구는 수중재활이 단순한 기능 회복을 넘어 정서 중재 수단으로 활용될 수 있음을 시사하며, 향후 신경생리 지표를 통합한 장기적 접근의 필요성을 제안한다.
서 론
아동기와 청소년기는 신체적·인지적 발달이 급격히 이루어지는 시기로, 이 시기의 건강한 성장과 기능 발달은 성인기의 삶의 질과 밀접하게 연결된다. 그러나 뇌병변 장애가 있는 아동·청소년의 경우, 신경학적 손상으로 인해 정상적인 운동 발달 과정이 지연되거나 제한되며, 이로 인해 일상생활 능력뿐만 아니라 사회적 상호작용과 자아 정체감 형성에도 어려움을 겪는 경우가 많다(Bax et al., 2005). 특히 10세에서 18세 사이의 시기는 학업과 또래 관계의 확장이라는 사회적 변화를 겪는 시기로, 기능적 제한은 또래와의 격차를 심화시키고 심리적 위축을 초래할 수 있다(Hawkins et al., 1994). 반복적인 치료와 재활 과정에서의 스트레스, 타인과의 비교로 인한 좌절감, 독립성 부족에서 비롯된 무기력감은 심리적 위축과 사회적 고립으로 이어질 수 있다.
이러한 배경 속에서 최근 주목받고 있는 것은, 수중재활운동과 지상재활운동이 단순한 신체 기능 회복을 넘어 아동·청소년의 정서적 안정과 긍정적 정서 변화에 기여할 수 있다는 점이다. 수중재활운동은 물의 부력, 수압, 온도 등으로 인한 감각적 자극과 안정된 환경을 통해 신체적 부담을 줄이며, 운동에 대한 두려움과 긴장을 완화해 아동의 자발적 참여와 몰입을 유도한다(Tao et al., 2005). 물속에서의 자유로운 움직임과 놀이 중심의 활동은 자기효능감 향상, 즐거움의 경험, 사회적 상호작용 기회의 확대를 통해 정서적 안정감과 긍정적인 자기 인식 형성에 기여할 수 있다.
한편, 지상에서 이루어지는 재활운동은 신체 기능 향상뿐만 아니라 반복적인 성취 경험을 통해 자아존중감 회복, 스트레스 해소, 우울감 감소 등의 심리적 효과를 가져올 수 있다. 특히 목표지향적인 운동 수행은 뇌의 보상 회로를 활성화시켜 긍정적인 정서를 유발하며, 또래와의 협동이나 경쟁을 통해 사회적 기술 발달을 도모할 수 있다 (Slagle et al., 2011). 이러한 정서적 변화는 재활 참여의 지속성을 높이고, 궁극적으로는 학업, 사회적 관계, 자립 생활 등 삶의 질 전반에 긍정적인 영향을 미친다.
최근 재활의학 및 운동과학 분야에서는 재활운동의 정서적 효과에 관한 관심이 높아지고 있다. 이는 재활운동이 긍정적인 정서 변화를 유도하고, 이러한 정서 변화가 다시 운동 참여 동기 강화와 사회적 참여 확대, 삶의 질 향상으로 이어지는 선순환 구조를 형성할 수 있기 때문이다. 특히 반복적이고 점진적인 운동 수행을 통한 성취감은 뇌 병변 장애 아동·청소년의 자기효능감 증진과 심리적 회복탄력성 향상에 직접적으로 기여하며, 이는 재활의 효과성과 지속성에 중요한 역할을 한다(Slagle et al., 2011). 이러한 관점에서 수중 및 지상재활운동의 신체적 효과와 정서적 변화 간의 상관성을 통합적으로 이해하는 것은 보다 전인적이고 효과적인 재활 프로그램을 설계하는 데 핵심적인 기초가 된다. 특히 뇌병변 장애 아동·청소년의 경우, 정서적 회복 없이 신체 기능 향상의 효과가 일상생활로의 전이에 한계를 가질 수 있다는 점에서, 신체와 정서의 상호작용을 고려한 통합적 접근이 필수적이다.
그런데도, 현재까지 대부분의 연구는 행동 관찰, 심리검사, 설문조사와 같은 주관적 자료에 의존하고 있으며, 재활운동이 아동·청소년 의 정서에 미치는 영향을 신경학적 또는 뇌과학적 메커니즘 차원에서 규명한 연구는 매우 부족한 실정이다. 이는 재활운동이 실제로 뇌의 어떤 영역에 작용하고, 그 결과 어떤 신경 생리적 변화가 정서 조절에 기여하는지를 과학적으로 설명하지 못하고 있음을 의미한다(Ludyga et al., 2021; Shao et al., 2025).
정서 조절과 밀접한 관련이 있는 뇌 영역인 편도체(amygdala), 전전두엽(prefrontal cortex), 해마(hippocampus) 등은 운동 자극에 따라 기능적 변화를 보일 수 있음이 일반 발달 아동을 대상으로 한 선행 연구들에서 보고된 바 있다(Herting & Keenan, 2017). 그러나 뇌병변 장애 아동·청소년을 대상으로 수중 및 지상재활운동이 뇌 기능 변화에 미치는 인과적 영향을 실증적으로 분석한 연구는 거의 전무하며, 이에 따라 운동에 의한 정서 회복의 뇌과학적 근거가 아직 체계적으로 확립되지 못하고 있다. 특히 아동·청소년기는 높은 수준의 신경 가소성을 지닌 시기임에도 불구하고, 이에 근거한 맞춤형 운동 자극의 기준과 효과를 제시한 연구는 매우 부족하다.
따라서 fMRI, EEG, fNIRS 등과 같은 뇌영상 기법을 활용하여, 재활운동이 뇌병변 장애 아동·청소년의 정서 조절 관련 뇌 기능에 미치는 영향을 과학적으로 분석하고, 운동-정서-뇌 기능 간의 연계 메커니즘을 규명하는 것이 필요하며, 이러한 연구는 단순한 운동 효과의 검증을 넘어, 정서적 안정과 심리·사회적 회복까지 포괄하는 정밀한 재활 전략 수립에 기여할 수 있다.
이에 본 연구는 뇌 병변 장애가 있는 만 10세~18세 아동·청소년을 대상으로 수중 및 지상재활운동 참여가 정서적 측면에 미치는 영향을 규명하고, 이를 뇌과학적 관점에서 분석함으로써 운동이 정서변화에 미치는 영향을 밝히는 데 목적이 있다. 본 연구는 기능 회복 중심의 전통적 재활을 넘어, 정서적 안정과 심리·사회적 회복을 포괄한 전인적 재활 프로그램 개발의 방향성을 제시하고, 뇌병변 장애 아동·청소년의 삶의 질 향상을 위한 맞춤형 재활 전략 수립의 기초 자료로서 의의를 가진다.
연구방법
연구대상
본 연구의 참여자는 10~18세 뇌병변 1, 2급으로 수중운동 및 지상 재활운동 프로그램 참여가 가능하며, 한글판 수정바델지수(K-MBI) 80점 이상, 상, 하지 MMT 건측 Fair+/환측 Fair 이상, 이환부 Lthemiplegia인 남 14명을 대상으로 수중운동 집단 7명 지상재활운동 집단 7명으로 구성하였다. 이들은 특수교육기관이 아닌 일반 학교에 재학 중이며, 연구 참여자는 담임교사와 보호자의 관찰에 근거해 일상 학습 및 사회적 상호작용에 어려움이 없고, 중등도 이상의 인지기능 저하가 없는 아동·청소년으로 선정하였다. 모든 참여자는 본 실험 내용과 유사한 경험이 없는 참여자로 구성하였으며, 실험 절차 및 방법 등에 대한 충분한 정보제공 후에 실험 참여 동의서를 받은 후 연구를 진행하였다. 본 연구를 진행하는 동안 상해보험 가입 및 실험실 환경과 실험 상황에서 일어날지 모르는 위험 상황을 철저히 대비한 후 실험을 실시하였다.
측정도구
뇌파 측정 도구는 QEEG-8채널(Model : LXE5208, Laxtha Inc. Korea)을 사용하였다. 그리고 전극이 달린 모자(Electro-cap: EM1), Ag-AgCI 젤과 전극, 저항측정기(Model : EZM5AB), 컴퓨터(SAMSUNG: NT202B5C S01G) 등으로 구성되어 있다(Fig. 1). 그 리고 Yoo and Kim(2002)는 한국형 운동-정서 척도를 사용하였으며, 운동-정서척도 하위 요인은 재미 6문항, 긍지 5문항, 정화 5문항, 활력 5문항, 성취 3문항으로 총 24문항으로 구성되어 있다.
재활운동 프로그램
수중운동 프로그램은 A시 S구 장애인복지관에서 진행되었으며, 수중재활운동 프로그램은 신체 조절 및 체력 향상을 위한 수중운동은 수중운동요법 중 와츠 기법(WATSU), 바드라가즈링 기법(BAD RAGAZ RING ), 할리윅 기법(HALLIWICK)을 기본으로 한 수중재활운동프로그램을 실시하였으며, 물의 성질(부력, 수압, 수온 등)을 활용하는 신체적 장애가 있는 환자들에게 자세, 균형, 근력 강화, 보행훈련 및 근긴장도 이완 등에 효과적인 수중재활운동이다. 지상재활 운동은 심폐지구력, 근력 강화, 균형 능력 향상, 체지방 감소, 자기효능감 등 정서적 안정 도모 등에 도움이 되는 순환운동 기반 프로그램으로 진행하였다(Table 1).
Table 1
Rehabilitation exercise program
| Program | |
|---|---|
|
|
|
| Aquatic rehabilitation exercise (10 minutes of warm-up, 40 minutes of main exercise, and 10 minutes of cool-down) | Dorsi flexion flexion, plantar flexion |
| Lateral bending right, left. | |
| Prone position and supine position abduction adduction. | |
| Float on the water using buoyancy rings on both arms and perform walking movements in forward, lateral, and backward directions. | |
| Walk forward, backward, and sideways on an underwater deck while wearing weights, water breath dance. | |
| Accordion, Rotating accordion, Near and far leg rotation, seaweed. | |
| Aqua yoga. | |
|
|
|
| land-based rehabilitation exercise (10 minutes of warm-up, 40 minutes of main exercise, and 10 minutes of cool-down) | Dorsi flexion flexion, plantar flexion. |
| In a lying position, stretch to the left, right, and upward, then pull toward the chest and hold the position. | |
| While seated, extend the legs and hold the position. | |
| Assume a quadruped position with knees bent (horse-riding stance), then lift the left arm and right leg diagonally. Alternate between left and right sides while holding each position. | |
| While lying prone, raise both arms and legs at the same time and roll from side to side. | |
| Wrist stretching. | |
| Seated stretch with both arms extended overhead. | |
| Seated forward bend with legs together, reaching toward the chest. | |
| Breathing control. | |
본 연구의 수중 및 지상재활운동 프로그램은 뇌성마비 아동·청소년의 감각 자극, 고유수용성 훈련, 체간 안정성 향상에 효과가 있다고 보고된 선행 연구를 바탕으로 구성되었다(Damiano et al., 2000; Gorter & Currie, 2011). 본 연구에서 적용한 수중 및 지상재활운동 프로그램은 뇌성마비 아동·청소년의 운동 기능 및 정서적 반응을 향상 시키기 위한 목적으로 구성되었다. 수중 재활운동은 부력을 이용한 보행훈련과 다양한 방향 움직임, 저항성 동작, 감각 자극 중심의 활동(예: 아코디언, 해조류 동작, 아쿠아 요가 등)으로 구성되었으며, 이는 근긴장도 감소와 하지 협응 능력 향상에 효과적인 것으로 보고된 바 있다(Gorter & Currie, 2011; Kim & Park, 2018). 수중 환경의 특성은 감각 통합 및 정서적 안정에도 긍정적인 영향을 줄 수 있다.
지상재활운동은 체간 조절, 고유수용성 자극, 유연성 증진을 목적으로 한 스트레칭 및 자세 조절 운동으로 구성되었으며, 대표적으로 네발기기 자세에서 팔과 다리를 교차 들어 올리는 운동(bird-dog posture)이나 좌위 전굴 동작 등이 포함된다. 이는 고유수용감각 자극과 자세 안정성을 강화함으로써 신경근 조절 향상에 도움이 되는 것으로 알려져 있다(Mani et al., 2021). 두 프로그램 모두 10분 준비운동, 40분 본 운동, 10분 정리운동으로 구성하여 점진적인 적응과 안전한 수행이 가능하도록 하였다.
실험절차
재활운동 프로그램은 약 3개월간 주 3회, 회당 60분씩 진행되었다. 정서 EEG 측정은 사전, 1개월, 2개월, 3개월 시점에서 총 4회에 걸쳐 실시하였다. 미성년자인 참여자들을 대상으로 한 연구이므로, 연구에 앞서 부모와 참여자에게 실험의 목적과 절차를 충분히 설명하고, 동의서를 받은 후에 연구를 시작하였다.
연구 참여자가 측정 장소에 도착하면 심리적 안정을 취할 수 있는 시간을 가진 후 실험 참여 동의서와 실험 절차를 상세히 설명한다. 그 후 참여자의 실험 동의를 얻으면 운동-정서 척도 작성과 뇌파측정 준비하였다. 뇌파측정에 방해가 되는 금속물질(휴대전화, 반지, 목걸이, 동전 등)을 제거 후 참조전극(References electrode)이 부착되는 양쪽 유양돌기(A1, A2)에 각질제거 후 전극을 부착하였다. 피험자의 머리둘레에 맞는 Electro cap을 국제 10-20 전극배치법(Jasper, 1958)에 따라 착용시킨 후 각각의 전극에 Ag-AgCI 젤을 주입하였다. 이때 전극과 두피간의 저항은 5㏀ 이하로 떨어뜨린다. 측정영역은 전두엽 영역인 Fp1, Fp2, F3, F4 영역을 측정하였다(Fig. 2).
측정 준비가 완료되면 최대한 편안한 자세로 실험 준비를 마친 후 측정자는 피험자에게 몸 움직임과 눈 깜빡임 그리고 침 삼킴 등 뇌파에 잡파(noise)가 유입되는 행동은 최대한 자제할 것을 당부하였다. 모든 EEG 샘플링(Sampling rate)은 512Hz로 설정하였다. 안정시 정서 EEG 측정을 위해 눈뜨고 2분, 눈감고 2분 동안 측정하였다. 각 기간마다 측정은 재활운동 후 즉시 실시하였다.
본 연구에서는 재활 운동이 정서적 측면에 미치는 영향을 확인하기 위해 뇌파 측정 부위를 Fp1, Fp2, F3, F4 네 영역으로 설정하였다. 이러한 설정은 국제 10-20 시스템에 근거하여 전두엽(Frontal lobe) 영역 중 정서 및 인지 조절과 밀접하게 연관된 부위를 선정한 것이다. Fp1과 Fp2는 전두극(prefrontal pole) 부위로, 감정의 인식과 조절, 스트레스 반응에 중요한 역할을 하는 것으로 알려져 있다. 또한 F3와 F4는 전측두엽(anterior frontal) 영역으로, 긍정적· 부정적 정서 처리, 자기조절, 의사결정 등 다양한 정서적·인지적 기능과 관련이 있다(Davidson, 2004; Harmon-Jones et al., 2010). 이에 따라 본 연구에서는 재활 운동이 정서적 변화에 미치는 영향을 보다 명확하게 파악하고자 Fp1, Fp2, F3, F4를 주요 뇌파 측정 부위로 선정하였다.
자료수집 및 분석
1. EEG 데이터
수집된 EEG 데이터는 Telescan(CD-TS-3.1, Laxtha, Korea) 프로그램을 통해 ±90㎶ 이상 되는 EOG artifact를 PCA(Principal Component Analysis) filtering 했다. artifact 제거된 데이터는 0.1~30Hz로 Band-pass 필터링을 시행했다. 필터링된 데이터는 1 초씩 overlap 70% 단위로 epoch를 실시했다. 필터링된 데이터는 영역별 관심 주파수 대역의 세타파(4-7Hz), 로우알파(8-9Hz), 미드알파(10-12Hz), 하이알파(12-13Hz) 그리고 알파파(8-13Hz) 절대파워(absolute power)값을 산출한다.
2. Frontal Alpha Asymmetry (FAS) 데이터
알파파 주파수 대역의 절대파워 값을 자연로그(Log) 값으로 전환하고 이 과정에서 최종단계에서 각각의 부위들에 의한 하나의 alpha log power density의 지표를 산출했다. 산출된 EEG 대뇌반구의 측정값은 우측대뇌반구 log alpha power density(log R)와 좌측대뇌 반구 log alpha power density(log L)의 차이(log R-log L)에 의해 계산했다(Allen et al., 2004). 알파파워는 활성화와 반비례 관계 를 나타내는 지표이므로 양수(+)는 좌반구 활성화를 나타내고, 음수 (-)는 우반구의 활성화를 나타낸다. 그리고 0인 경우(차이지표 점수의 절대 값이 소수점 두 자리 미만)는 비대칭성이 없음을 나타낸다. 즉 안정시 조건에서 측정한 대뇌반구 비대칭 활성화는 긍정적, 부정적 정서를 반영하는 메커니즘 체계에 대한 2가지 신경회로(좌측과 우측영역의 활성화)를 반영한다. 즉, 좌측 전두영역의 활성화는 긍정적인 정서 반응과 관련이 있고, 우측 전두영역의 활성화는 부정적인 정서와 관련이 있다. R-L Asymmetry score가 음수(-)는 우측 전두영역의 활성화로 부정적인 정서 상태를 나타내는 수치이고, 양수(+)는 좌측 전두영역의 활성화로 긍정적인 정서 상태를 나타내는 수치이다 (Misic et al., 2002; van der Velde & Junge, 2004).
3. 운동-정서 척도 데이터
국내 연구 환경과 문화적 특성을 반영한 Yoo and Kim(2002) 한국형 운동-정서 척도를 사용하였으며, 운동-정서척도 하위 요인은 재미 6문항, 긍지 5문항, 정화 5문항, 활력 5문항, 성취 3문항으로 총 24문항으로 구성되어 있다. 하위 요인들의 각 문항 점수는 1(전혀 그렇지 않다)~5(매우 그렇다)까지 총 5단계 원점수(raw date)를 표준 점수로 환산하여 사용하였다.
통계처리
1. 정서 EEG 및 Frontal Alpha Asymmetry (FAS)
아동·청소년 뇌병변장애인들의 12주간 수중 및 지상재활운동 프로그램이 진행되는 동안 안정시 정서 뇌 활성화 변화인 정서 EEG를 알아보기 위해 집단(2)×측정시기(4)×측정 영역(4)에 대한 혼합분산분석(Mixed-design ANOVA)을 실시하였다. 측정시기와 측정 영역에 대한 주 효과 및 상호작용이 나타나면 사후 검증으로 Bonferroni를 사용하였다. 종속변인은 세타, 로우알파, 미드알파, 하이알파, 알파파의 절대파워 값이다.
그리고 전두엽 좌·우 비대칭의 변화를 보기 위한 알파파 FAS 분석은 2(집단)×4(측정시기) 대한 혼합분산분석을 실시하였다. 측정시기에 대한 주 효과 및 상호작용이 나타나면 사후 검증으로 Bonferroni를 사용하였다. 종속변인은 EEG 대뇌반구 비대칭 차이지표 점수이다.
연구결과
정서 EEG
1. Theta Power
아동·청소년 뇌병변장애인들의 12주간 수중 및 지상재활운동 프로그램이 진행되는 동안 세타파 분석결과 집단(F (1, 12)=7.839, p <.05, η² =.395), 측정시기(F (3, 36)=11.463, p <.05, η² =.489) 그리고 집단×측정시기(F (3, 36)=8.646, p <.05, η² =.419)간 주 효과 및 상호작용이 나타났다. 집단 간 비교 분석 결과 수중재활 집단이 지상재활 집단보다 세타파가 높은 것으로 나타났다. 측정시기에 대한 사후분석 결과 사전, 1개월, 2개월보다 3개월이 세타파가 높은 것으로 나타났다. 집단×측정시기 상호작용 대비 검증 결과 측정시기의 경우 1개월과 3개월에서 지상재활 집단보다 수중재활 집단이 세타파가 높은 것으로 나타났다. 그리고 집단의 경우 수중재활 집단은 3개월이 사전, 1개월, 2개월보다 세타파가 높은 것으로 나타났다. 하지만 지상 재활 집단의 경우는 측정시기간 유의차가 나타나지 않았다(Fig. 3). 영역(F (3, 36)=.070, p >.05, η² =.006), 집단×영역(F (3, 36)=1.473, p >.05, η² =.109) 측정시기×영역(F (9, 108)=.623, p >.05, η² =.049) 그리고 집단×측정시기×영역(F (9, 108)=.585, p >.05, η² =.046)간에 주 효과 및 상호작용이 나타나지 않았다.
2. L-alpha Power
아동·청소년 뇌병변장애인들의 12주간 수중 및 지상재활운동 프로그램이 진행되는 동안 로우알파파 분석력과 집단(F (1, 12)=5.013, p <.05, η² =.295), 영역(F (3, 36)=4.985, p <.05, η² =.293) 그리고 집단×측정시기(F (3, 36)=3.701, p <.05, η² =.236)간 주 효과 및 상호작용이 나타났다. 집단×측정시기 상호작용 대비 검증 결과 측정 시기의 경우 3개월에서 지상재활집단보다 수중재활집단이 로우알파파가 높은 것으로 나타났다. 그리고 집단의 경우 수중재활 집단은 3개월이 사전, 1개월, 2개월보다 로우알파파가 높은 것으로 나타났다. 하지만 지상재활 집단의 경우는 측정시기간 유의차가 나타나지 않았다(Fig. 4). 측정시기(F (3, 36)=1.928, p >.05, η² =.138), 집단×영역(F (3, 36)=.937, p >.05, η² =.072) 측정시기×영역(F (9, 108)=.934, p >.05, η² =.072) 그리고 집단×측정시기×영역(F (9, 108)=.960, p >.05, η² =.074)간에 주 효과 및 상호작용이 나타나지 않았다.
3. M-alpha power
아동·청소년 뇌병변장애인들의 12주간 수중 및 지상재활운동 프로그램이 진행되는 동안 미드알파파 분석력과 측정시기(F (3, 36)=2.794, p <.05, η² =.189)과 영역(F (3, 36)=5.971, p <.05, η² =.332)간 주 효과가 나타났다. 측정시기에 대한 사후분석 결과 유의한 차이는 나타나지 않았다. 그리고 영역에 대한 사후분석 결과 F3, F4 영역이 Fp1, Fp2 영역보다 미드알파파가 높은 것으로 나타났다 (Fig. 5). 하지만 집단(F (1, 12)=2.596, p >.05, η² =.178), 집단×측정 시기(F (3, 36)=.433, p >.05, η² =.035), 집단×영역(F (3, 36)=.927, p >.05, η² =.072) 측정시기×영역(F (9, 108)=1.589, p >.05, η² =.117) 그리고 집단×측정시기×영역(F (9, 108)=1.092, p >.05, η² =.083)간에 주 효과 및 상호작용이 나타나지 않았다.
4. H-alpha power
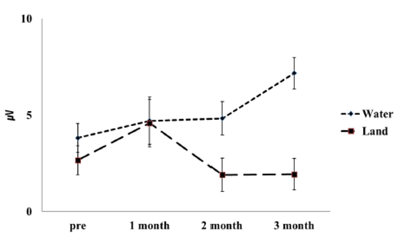
아동·청소년 뇌병변장애인들의 12주간 수중 및 지상재활운동 프로그램이 진행되는 동안 하이알파파 분석결과 집단(F (1, 12)=5.013, p <.05, η² =.295), 집단×측정시기(F (3, 36)=3.701, p <.05, η² =.236)간 주 효과 및 상호작용이 나타났다. 집단×측정시기 상호작용 대비 검증 결과 측정시기의 경우 사전, 1개월보다 2개월과 3개월에서 지상재활 집단보다 수중재활집단이 하이알파파가 높은 것으로 나타났다. 그리고 집단의 경우 수중재활 집단은 3개월이 사전, 2개월보다 하이알파파가 높은 것으로 나타났다. 지상재활 집단은 2개월이 3개 월보다 하이알파파가 높은 것으로 나타났다(Fig. 6). 하지만 측정시기(F (3, 36)=2.352, p >.05, η² =.164), 영역(F (3, 36)=1.827, p >.05, η ² =.132), 집단×영역(F (3, 36)=.143, p >.05, η² =.072) 측정시기×영역(F (9, 108)=1.841, p >.05, η² =.133) 그리고 집단×측정시기×영역(F (9, 108)=1.382, p >.05, η² =.103)간에는 주 효과 및 상호작용이 나타나지 않았다.
5. Alpha power
아동·청소년 뇌병변장애인들의 12주간 수중 및 지상재활운동 프로그램이 진행되는 동안 알파파 분석력과 집단(F (1, 12)=8.849, p <.05, η² =.424), 측정시기(F (3, 36)=3.033, p <.05, η² =.202), 집단×측정시기(F (3, 36)=5.988, p <.05, η² =.333) 그리고 집단×영역(F (3, 36)=4.726, p <.05, η² =.283)간 주효과 및 상호작용이 나타났다. 집단×측정시기 상호작용 대비 검증 결과 측정시기의 경우 3개월에서 지상재활집단보다 수중재활집단이 알파파가 높은 것으로 나타났다. 그리고 집단의 경우 수중재활 집단은 3개월이 사전, 1개월, 2개월보다 알파파가 높은 것으로 나타났다. 하지만 지상재활 집단의 경우 측정시기간 유의차가 나타나지 않았다. 집단×영역 간 상호작용 대비 검증 결과 영역 간의 경우 Fp1, Fp2 영역에서 지상재활집단보다 수중재활집단의 알파파가 높은 것으로 나타났다. 그리고 집단의 경우 수중재활집단은 영역 간 차이가 나타나지 않았다. 지상재활 집단의 경우 F3, F4 영역이 Fp1, Fp2 영역보다 알파파가 높은 것으로 나타났다(Fig. 7). 하지만 영역(F (3, 36)=1.327, p >.05, η² =.100), 측정 시기×영역(F (9, 108)=.639, p >.05, η² =.051) 그리고 집단×측정시 기×영역(F (9, 108)=1.051, p >.05, η² =.081)간에 주 효과 및 상호작용이 나타나지 않았다.
운동-정서 척도
1. 재미(Fun)
아동·청소년 뇌병변장애인들의 12주간 수중 및 지상재활운동 프로그램이 진행되는 동안 재미요인 분석결과 측정시기에 주 효과가 나타났다(F (2, 24)=102.508, p <.05, η² =.895). 사후분석 결과 1개월보다 2개월 그리고 3개월 순으로 점차 점수가 높아지는 것으로 나타났다(Fig. 8). 하지만 집단(F (1, 12)=2.423, p >.05, η² =.168) 그리고 집단×측정시기(F (2, 24)=.648, p >.05, η² =.051)간 주효과 및 상호작용이 나타나지 않았다.
2. 긍지(Pride)
아동·청소년 뇌병변장애인들의 12주간 수중 및 지상재활운동 프로그램이 진행되는 동안 긍지 요인 분석결과 측정시기에 주효과가 나타났다(F (2, 24)=95.608, p <.05, η² =.888). 사후분석 결과 1개월보다 2개월 그리고 3개월 순으로 점차 점수가 높아지는 것으로 나타났다(Fig. 8). 하지만 집단(F (1, 12)=1.930, p >.05, η² =.139) 그리고 집단×측정시기(F (2, 24)=1.421, p >.05, η² =.106)간 주효과 및 상호작용이 나타나지 않았다.
3. 활력(Vigor)
아동·청소년 뇌병변장애인들의 12주간 수중 및 지상재활운동 프로그램이 진행되는 동안 활력요인 분석결과 측정시기에 주효과가 나타났다(F (2, 24)=160.882, p <.05, η² =.931). 사후분석결과 1개월보다 2개월 그리고 3개월 순으로 점차 점수가 높아지는 것으로 나타났다(Fig. 8). 하지만 집단(F (1, 12)=1.079, p >.05, η² =.082) 그리고 집단×측정시기(F (2, 24)=.259, p >.05, η² =.021)간 주효과 및 상호작용이 나타나지 않았다.
4. 정화(Catharsis)
아동·청소년 뇌병변장애인들의 12주간 수중 및 지상재활운동 프로그램이 진행되는 동안 정화요인 분석결과 측정시기에 주 효과가 나타났다(F (2, 24)=87.429, p <.05, η² =.879). 사후분석 결과 1개월보다 2개월 그리고 3개월 순으로 점차 점수가 높아지는 것으로 나타났다 (Fig. 8). 하지만 집단(F (1, 12)=1.898, p >.05, η² =.137) 그리고 집단×측정시기(F (2, 24)=.215, p >.05, η² =.018)간 주 효과 및 상호작용이 나타나지 않았다.
5. 성취(Achievement)
아동·청소년 뇌병변장애인들의 12주간 수중 및 지상재활운동 프로그램이 진행되는 동안 성취요인 분석결과 측정시기에 주 효과가 나타났다(F (2, 24)=56.606, p <.05, η² =.825). 사후분석 결과 1개월보다 2개월 그리고 3개월 순으로 점차 점수가 높아지는 것으로 나타났다 (Fig. 8). 하지만 집단(F (1, 12)=1.160, p >.05, η² =.088) 그리고 집단×측정시기(F (2, 24)=.600, p >.05, η² =.048)간 주 효과 및 상호작용이 나타나지 않았다.
논 의
본 연구의 목적은 뇌 병변 장애가 있는 아동·청소년(만 10세~18세)을 대상으로, 수중 및 지상재활운동 참여가 정서적 측면에 미치는 영향을 규명하고, 이를 뇌과학적 관점에서 분석함으로써 운동과 정서 변화 간의 상관성과 그 기전을 밝히는 데 있다. 본 연구에서 EEG 분석 시 세타, 알파, 로우알파, 미드알파, 하이알파로 세분화하는 이유는 정서 및 인지 기능과 관련된 미세한 뇌 반응을 정밀하게 파악하기 위함이다.
세타파는 정서적 민감성과 집중력 관련 변화를 감지할 수 있고, 알파파의 세분화는 이완, 감정 조절, 자기통제 등 각기 다른 정서 상태를 구분하는 데 유용하다. 이러한 세분화된 분석은 재활운동 개입이 뇌 기능과 정서 조절에 어떻게 작용하는지에 대한 신경생리학적 기전을 밝히는 데 중요한 도구로 작용하며, 향후 맞춤형 재활 프로그램 개발에도 기초 자료로 활용될 수 있다.
정서 EEG
뇌 병변 장애가 있는 아동·청소년(만 10세~18세)을 대상으로 수중재활과 지상재활이 정서 관련 뇌파(EEG)에 미치는 영향을 비교하였다. 특히 세타파의 변화를 중심으로 분석한 결과, 수중재활 집단이 지상 재활 집단에 비해 재활운동 기간이 경과함에 따라 세타파의 활성도가 유의미하게 증가하는 경향을 보였다.
세타파는 일반적으로 정서적 안정, 내적 집중, 이완 상태와 관련이 있으며, 특히 아동·청소년의 경우 감정 조절과 심리적 안정 상태를 반영하는 중요한 생리적 지표로 간주된다(Harmony et al., 1990). 이러한 관점에서 볼 때, 수중재활 운동이 뇌병변 장애 아동·청소년의 정서 안정 및 긍정적 정서 상태 유도에 더 효과적이었음을 시사한다(Clarke et al., 2001; Tarullo et al., 2011). 물리적 특성 측면에서 수중 환경은 부력, 수압, 온도 자극 등을 통해 긴장을 완화하고, 운동 수행 시 신체적 부담을 줄여주는 효과가 있다. 이러한 요소들이 복합적으로 작용하여 정서적 이완 및 뇌파 활성의 긍정적 변화를 유도했을 가능성이 있다.
반면, 지상재활은 중력의 영향을 직접적으로 받기 때문에 움직임에 대한 부담이나 긴장감이 상대적으로 높아 세타파의 증가가 제한적이 었을 수 있다(Carayannopoulos et al., 2020). 본 연구 결과는 재활 치료 시 수중 환경이 신체 기능 향상뿐 아니라 정서적 안정에도 긍정적 영향을 줄 수 있다는 근거를 제공한다는 점에서 의의가 있다. 특히 정서 조절 능력이 미숙한 아동·청소년기에 수중재활이 뇌파 기반의 정서 중재 전략으로써 활용 가능성을 시사한다.
뇌 병변 장애가 있는 아동·청소년을 대상으로 수중재활과 지상재활 프로그램이 전두엽 알파파(로우알파) 활성에 미치는 영향을 비교하였다. 그 결과, 수중재활 집단은 재활운동 기간이 경과할수록 로우알파파의 활성도가 점진적으로 증가한 반면, 지상재활 집단에서는 유의한 변화가 나타나지 않았다. 이러한 결과는 수중 환경이 뇌 신경계 활성화 및 정서적 안정에 더 긍정적인 영향을 줄 수 있음을 시사한다. 수 중재활의 효과는 물의 부력과 저항을 통해 신체 부담을 줄이는 동시에, 보다 다양한 감각 자극과 전정 자극을 제공하기 때문에 뇌 기능 활성화에 유리한 조건을 제공하는 것으로 해석할 수 있다(Kim et al., 2020). 특히 로우알파파는 이완된 집중 상태 및 정서적 안정과 관련이 깊기 때문에, 수중 환경이 아동·청소년의 심리적 긴장 완화와 관련 뇌 영역의 활성화에 기여했을 가능성이 있다(Allen et al., 2004).
반면, 수중재활 집단은 사전보다 사후에서 Theta 파워가 유의하게 증가하였으나, 지상재활 집단에서는 유의한 변화가 나타나지 않았다. 이는 수중 환경의 감각 자극이 뇌 기능 활성화에 보다 효과적으로 작용했음을 시사한다. 반면, 지상재활 집단에서 유의한 변화가 없었던 점은 반복적이고 익숙한 자극 환경이 신경 생리적 반응을 유도하기에는 제한적일 수 있음을 나타낸다(Edmunds et al., 2019). 이는 지상 재활의 자극 강도나 다양성이 뇌파 변화에 충분하지 않았을 가능성을 제기하며, 향후 지상재활 프로그램의 구성 요소와 자극 설계의 필요성을 시사한다(Cao et al., 2020). 이는 수중 환경의 감각 자극이 뇌 기능 활성화에 효과적으로 작용했음을 보여준다. 반면, 지상재활은 자극의 강도와 다양성이 부족하여 신경 생리적 변화를 유도하는 데 한계가 있었던 것으로 해석된다.
뇌병변 장애를 가진 아동·청소년(만 10세~18세)을 대상으로 수중재활과 지상재활이 하이알파파(High Alpha Power)에 미치는 영향 을 비교하였다. 그 결과, 수중재활 집단은 재활운동 기간이 경과함에 따라 하이알파파의 증가가 뚜렷하게 나타난 반면, 지상재활 집단에서는 유의미한 변화가 관찰되지 않았다. 이러한 결과는 수중환경이 제공하는 감각적 자극과 심리적 안정감이 신경생리학적 수준에서 긍정적인 영향을 미칠 수 있음을 시사한다. 특히 하이알파파는 뇌의 안정된 각성 상태 및 인지적 자원 배분과 관련이 있는 것으로 알려져 있으며(Fox & Davidson, 1986), 이는 집중력 향상이나 스트레스 완화와도 밀접한 관련이 있다(Klimesch, 1999). 따라서 수중재활이 아동· 청소년의 신경 생리적 회복에 보다 효과적인 자극을 제공했을 가능성이 있다(Becker, 2009).
반면, 지상재활 집단에서 하이알파파의 변화가 나타나지 않은 점은 기존의 반복적이고 익숙한 재활 자극이 중추신경계의 반응을 충분히 유도하지 못했음을 의미할 수 있다(Kolb & Gibb, 2011). 특히 아동·청소년기의 뇌는 높은 신경 가소성을 보이므로, 보다 다양한 감각 자극을 동반한 환경적 접근이 중요함을 본 연구 결과가 뒷받침한다(Schafer & Moore, 2011; Taub et al., 1999).
뇌 병변 장애가 있는 아동·청소년을 대상으로 수중재활과 지상재활 프로그램이 알파파 활동에 미치는 영향을 비교하였다. 그 결과, 정서적으로 안정된 상태에서 증가하는 것으로 알려진 알파파의 파워가 수중재활 집단에서 지상재활 집단보다 유의미하게 높게 나타났다. 이는 수중환경이 아동·청소년의 정서적 안정감 및 이완 반응을 유도함으로써 전두엽의 알파파 활성화를 촉진했을 가능성을 시사한다(Kang & Kim, 2017; Lee & Park, 2015; Lehrer & Eddie, 2013).
반면, 지상재활 집단에서는 재활운동 기간이 경과하더라도 알파파 파워의 유의한 변화가 관찰되지 않았다. 이는 지상환경이 수중환경에 비해 상대적으로 감각 자극이 제한적이거나, 참여자들에게 심리적 긴장을 완전히 해소시키지 못했을 가능성이 있다(Becker, 2009). 또한 지상재활의 반복적이고 단조로운 운동 방식이 정서적 반응을 유도하기에 부족했을 수 있다(Anttila et al., 2008; Weiss & Ferrer-Caja, 2008). 이러한 결과는 선행 연구에서 제시된 수중운동의 심리적 이완 효과(예: 수압, 부력, 온도의 안정감 등)가 신경생리학적 수준에서도 확인된다는 점에서 의의가 있다. 특히, 전두엽 알파파의 증가는 긍정적인 정서 상태, 주의집중, 스트레스 감소 등과 밀접하게 관련되어 있으며, 이는 수중재활이 정서 및 인지기능 향상에도 긍정적인 영향을 미칠 수 있음을 시사한다(Cannard et al., 2021; Sabu et al., 2022).
Frontal Alpha Asymmetry(FAS)
뇌 병변 장애가 있는 아동·청소년을 대상으로 수중재활과 지상재활 프로그램이 전두엽 알파파 비대칭(FAS)에 미치는 영향을 분석하였다. 그 결과, 집단, 측정시기간, 그리고 집단과 측정시기 간의 상호작용 모두에서 유의한 차이가 나타나지 않았다. 이는 수중재활과 지상재활 모두 전두엽의 좌·우 알파파워 차이에 뚜렷한 영향을 미치지 않았음을 의미한다.
FAS는 과거에는 긍정·부정 정서의 지표로 해석되었으나, 최근 연구 에서는 접근 동기와 철회 동기를 반영하는 지표로 이해되는 것이 보다 타당하다고 알려져 있다(Sabu et al., 2022). 따라서 본 연구에서 FAS의 변화가 유의하지 않았다는 것은, 두 재활운동이 주관적 설문지를 통한 정서 변화에는 영향을 주었으나, 접근이나 철회 동기의 측면 에서는 뚜렷한 변화를 유도하지 못했음을 시사한다.
또한 연구 참여자의 수가 제한적(n=14)이었고, 측정 당시 외부 자극이나 정서 상태 등 통제되지 못한 요인들이 결과에 영향을 미쳤을 가능성이 있다. 향후 연구에서는 표본 수를 확대하고, 설문 기반의 정서 지표와 함께 FAS를 분석하여 정서 변화와 동기적 요인의 상관성을 종합적으로 검토할 필요가 있다(Acar et al., 2017; Misic et al., 2022).
운동-정서 척도
뇌 병변 장애가 있는 아동·청소년을 대상으로 수중재활과 지상재활 프로그램을 3개월간 실시하고, 운동-정서 척도의 변화를 분석하였다. 그 결과, 재활운동 기간이 경과함에 따라 운동-정서 척도의 하위 요인 재미, 긍지, 활력, 정화, 성취 점수가 점진적으로 향상되는 양상이 나타났다. 이러한 결과는 재활운동이 단순한 신체 기능 회복뿐만 아니라, 참여자의 심리적·정서적 측면에도 긍정적인 영향을 미친다는 점을 시사한다. 특히 재미와 활력의 증가를 통해 재활운동이 아동· 청소년의 운동 참여 동기를 증진시키고, 긍지와 성취감의 증가는 자기효능감 및 정체성 형성에도 기여할 수 있음을 보여준다. 이는 기존 연구들에서 보고된 운동 참여가 긍정 정서를 촉진한다는 결과(Lee & Park, 2015)와도 일치한다.
또한 수중재활의 경우, 물의 부력과 저항을 활용하여 신체적 부담을 줄이면서도 다양한 운동 경험을 제공할 수 있어, 참여자들이 더 적극적이고 즐겁게 운동에 임할 수 있었던 것으로 보인다. 특히 물이라는 특수 환경이 아동·청소년의 흥미를 자극하고, 활력과 정서적 정화 측면에서 더욱 두드러진 효과를 보였을 가능성도 있다. 이는 수중 환경이 지닌 감각적 자극과 심리적 안정 효과에 기인한 것일 수 있다 (Ogonowska-Slodownik et al., 2024).
결론 및 제언
본 연구는 뇌 병변 장애가 있는 아동·청소년을 대상으로 수중재활 과 지상재활이 정서적 뇌파(EEG) 및 전두엽 알파 비대칭성(FAS), 운동-정서 척도에 미치는 영향을 비교하였다. EEG 분석 결과, 수중재활 집단은 세타파, 로우알파파, 하이알파파 모두에서 재활 기간이 경과할수록 활성도가 유의하게 증가하는 경향을 보였으며, 이는 정서적 안정, 이완, 집중력 향상과 밀접하게 관련된 파형들이다. 반면, 지상재활 집단에서는 이러한 변화가 제한적으로 나타났다. 이러한 결과는 수중 환경이 제공하는 부력, 수압, 온도 등의 감각적·물리적 자극이 심리적 안정과 뇌 기능 활성화에 긍정적 영향을 미쳤음을 시사한다. 실제로 수중 환경은 긴장을 완화 시키고 신체 부담을 줄여 정서적 이완을 유도하는 데 유리한 조건을 제공한다(Kim et al., 2020; Becker, 2009).
반면, 전두엽 알파파 비대칭성에서는 집단 간 유의한 차이가 나타나지 않았다. 이는 FAS가 긍·부정 정서보다는 접근 동기와 철회 동기를 반영하는 지표이므로(Sabu et al., 2022), 두 재활운동이 정서적 주관 보고에는 영향을 주었으나 동기적 측면에서는 뚜렷한 변화를 유도하지 못했음을 시사한다.
운동-정서 척도 분석에서도 수중재활 집단이 재미, 긍지, 활력, 정화, 성취 등에서 보다 뚜렷한 향상을 보여, 수중재활이 단순한 신체 기능 회복을 넘어 정서적·심리적 측면에서도 긍정적인 영향을 미쳤음을 보여준다(Ogonowska-Slodown et al., 2024). 이는 재활 참여 동기 및 자기효능감 증진에도 기여할 수 있는 가능성을 제시하며, 향후 재활 프로그램 구성 시 정서적 중재 효과를 고려한 환경 설계의 중요성을 강조한다.
본 연구 결과는 수중재활이 뇌병변 장애 아동·청소년의 정서적 안정과 뇌파 활성, 긍정 정서 경험에 효과적일 수 있음을 시사한다. 이에 따라 향후 재활 프로그램 설계 시 단순한 기능 회복을 넘어서 정서적 중재 효과를 극대화할 수 있는 환경적 요인 예를 들어 수중환경의 감각적 자극을 적극적으로 활용할 필요가 있다.
또한, 전두엽 알파 비대칭성과 같은 신경생리 지표는 변화가 비교적 더디고 장기적인 개입이 필요하므로, 보다 장기적이고 체계적인 개입 프로그램을 통해 중추신경계의 정서 기능 향상 가능성을 모색해야 한다. 나아가, 재활의 효과를 다각적으로 평가하기 위해 정서, 인지, 신경생리 지표를 통합적으로 분석하는 접근이 향후 연구에서 강화될 필요가 있다.
마지막으로 본 연구는 각 집단당 7명의 소규모 표본을 대상으로 하였기 때문에 결과의 일반화에는 제한이 있으며, 일종의 파일럿 연구로 해석될 수 있다. 향후 연구에서는 보다 충분한 표본 수를 확보하여 통계적 검정력과 해석의 신뢰도를 높일 필요가 있다.
AUTHOR CONTRIBUTION
Conceptualization: Ji Hyun Ko, Kwang Min Ryu, Data curation: Kwang Min Ryu, Formal analysis: Kwang Min Ryu, Methodology: Kwang Min Ryu, Projectadministration: Ji Hyun Ko, Kwang Min Ryu, Visualization: Kwang Min Ryu, Writing-original draft: Ji Hyun Ko, Kwang Min Ryu, Writing-review & editing: Ji Hyun Ko, Kwang Min Ryu