정신회전이 다이빙 심판 판정의 정확도 향상에 미치는 역할
The Role of Mental Rotation in Improving Judging Accuracy of Diving Referees
Park, Seong-a1; Park, Seungha2*
Korean Journal of Sport Science, Vol.36, No.4, pp.568-580, December 2025
https://doi.org/10.24985/kjss.2025.36.4.568

© The Korean Institute of Sport Science. All rights reserved.
This is an open-access article distributed under the terms of the Creative Commons Attribution Non-Commercial License (http://creativecommons.org/licenses/by-nc/4.0/) which permits unrestricted non-commercial use, distribution, and reproduction in any medium, provided the original work is properly cited.
Abstract
PURPOSE This study investigated how mental rotation ability affects diving referees’ judgment accuracy through two experiments. METHODS Experiment 1 involved 32 certified diving referees and examined the relations among their prior experience, mental rotation ability, and judging error. Experiment 2 randomly assigned nine novice referees to one of the following training conditions. (1) observational + mental rotation training (OMRT), (2) observational + imagery training (OIT), and (3) observational training only (OT). The effects of each intervention were assessed using a multiple baseline design. RESULTS Experiment 1 showed significantly reduced judging errors due to motor experience and object-centered mental rotation accuracy whereas no significant effect was observed from refereeing and visual experience. Experiment 2 showed that the OMRT group had the greatest improvement in judgment accuracy and mental rotation performance, while the OIT group displayed moderate improvement, particularly in egocentric mental rotation. CONCLUSIONS Judges’ decision-making accuracy is closely linked to their mental rotation ability. Referee education programs that incorporate mental rotation and imagery training may significantly enhance judging precision and consistency in competitive diving.
초록
[목적] 본 연구는 정신회전능력이 다이빙 심판 판정 정확도에 미치는 영향을 규명하고자 하였다. 이를 위해 두 개의 실험을 실시하였다.
[방법] 실험 1에서는 대한수영연맹 소속의 다이빙 심판 32명을 대상으로 과거경험, 정신회전 능력, 판정오차 간의 관계를 분석하였다. 실험 2에서는 초보 심판 9명을 대상으로 관찰+정신회전훈련(OMRT), 관찰+심상훈련(OIT), 관찰훈련(OT)으로 구분하여 훈련 효과를 비교하였다. 실험은 중다기초선설계로 진행되었다.
[결과] 실험 1 결과는 운동경험과 객체중심 정신회전 정확도는 판정오차 감소에 유의미하게 기여한 반면, 심판경험과 시각 경험은 유의한 영향을 나타내지 않았다. 실험 2에서는 OMRT(관찰+정신회전훈련) 집단이 판정 정확도 향상에 가장 큰 효과를 보였고 정신회전능력도 두드러지게 향상되었다. OIT(관찰+심상훈련) 집단은 중간 수준의 효과를 나타냈고, 특히 자기중심 정신회전 능력에서만 긍정적 변화를 보였다.
[결론] 다이빙 심판의 판정 능력은 정신회전 능력과 밀접하게 관련되어 있음을 확인하였다. 따라서 향후 심판 교육 프로그램은 단순한 시각적 관찰 훈련을 넘어, 정신회전과 심상훈련을 통합적으로 포함해야 하며, 이는 실제 경기 상황에서 판정 정확성과 일관성을 향상시키기 위한 효과적인 전략으로 제안될 수 있다.
서 론
경기장 위 판사, 스포츠 심판은 높은 전문성을 가지고 있더라도 인간이기 때문에 오심을 내릴 수 있다. 이러한 잘못된 판단은 경기 결과에 결정적인 영향을 준다(Lee et al., 2016). 특히 다이빙, 피겨, 체조와 같이 예술성을 평가하는 심미스포츠 심판은 제한된 시간안에 복잡한 기술동작(도약-공중동작-입수)을 명확하게 평가해야 하며, 모호한 상황에서도 일관된 판정을 내려야 하는 고도의 인지적 판단력이 요구된다(Morgulev et al., 2018).
최근 연구에서 스포츠 심판의 감각경험(Sensory experience)이 판정에 긍정적인 영향을 미친다고 보고하고 있다(Park et al., 2023; Pizzera & Raab, 2012). 이러한 현상은 체화된 선택이론(Embodied choice theory)에 의해 설명될 수 있다. 이는 체화된 인지 이론(Embodied cognition theory)에서 발전된 것으로, 의사결정이 단순히 인지적 정보처리 과정만의 결과가 아니라 신체 감각 입력과 운동경험의 상호작용에 의해 이루어진다는 것을 강조한다. 즉 신체의 감각- 운동 경험이 의사결정 과정에 중요한 정보원이며 인지 과정의 일부로 작용함을 의미한다(Lepora & Pezzulo, 2015; Voigt et al., 2023).
Voyer and Jansen(2017)은 신체의 감각경험이 스포츠 의사결정에 필요한 시각-공간 능력(Visual-spatial ability)에 직접적인 관련이 있다고 밝혔다(Amorim et al., 2006). 시각-공간 능력은 특정한 환경에서 시각정보를 탐색, 유지, 변환하는 능력으로(Halpern, 2013), 정신회전(Mental rotation), 공간지각(Spatial perception), 공간시각화(Spatial visualization)로 구성된다(Nejati et al., 2021; Yongtawee et al., 2021). 이 중에서 정신회전은 2차원 또는 3차원 자극을 머릿속으로 회전시켜 지각하는 능력을 말하며(Shepard & Metzler, 1971) 시각-공간 능력의 핵심 구성요소를 반영하는 대표적 과제로 간주된다(Hegarty & Waller, 2005).
이러한 정신회전 능력은 다이빙과 같은 종목에서 빠른 회전이 수반되는 선수의 움직임을 다양한 각도와 방향에서 정확하게 지각하고 판단하기 위해 필수적인 요인이다(Hoyek et al., 2014). 특히 심판은 선수의 동작을 시각적으로 관찰할 뿐 아니라, 그 움직임을 머릿속에서 내적 시뮬레이션(Internal simulation)하는 과정을 거치며 판단에 필요한 정보를 통합한다(Jeannerod, 2001). 이러한 시뮬레이션은 단순한 시각적 정보의 회전 처리뿐만 아니라, 운동감각 기반의 정신적 조작이 함께 작동하는 체화된 정신회전의 형태를 띤다(Amorim et al., 2006; Moreau, 2012).
실제로 Amorim et al.(2006)은 인간이 손과 같은 신체 부위를 정신회전 과제로 제시받을 때, 단순한 시각정보처리뿐 아니라 운동감각 체계도 활성화된다는 것을 밝혔다(Amorim et al., 2006; Meneghetti et al., 2017; Wohlschlaeger, 2001). 이는 판단자가 자신의 신체 감각을 활용해 자극을 느끼듯 재현하려는 인지 과정을 반영한다. 이처럼 정신회전은 심판의 전문성과 판단 정밀도를 설명하는 핵심 요인으로 간주되며, 그 자체가 심판의 전문성 수준을 나타내는 기준이 될 수 있다(Voyer & Jansen, 2017).
또한 정신회전 능력은 운동 숙련성에 따라 차이가 있는 것으로 알려져 있다. Moreau(2012)의 연구에 따르면 운동선수는 정신회전 과제를 수행할 때 운동감각에 대한 의존성이 높은 반면, 비선수는 시각적 전략에 의존하는 경향을 보였다. 즉, 감각경험의 양과 질이 공간적 정보처리 방식에 직접적인 영향을 미치며 이는 심판이 과거에 쌓은 운동 경험이 인지전략에도 관여할 수 있음을 시사한다. 따라서 감각운동 기반의 인지 처리 특성을 고려한 맞춤형 훈련 프로그램 개발이 요구되며 이는 심판의 판단 역량 향상에 실질적으로 기여할 수 있을 것이다.
본 연구는 두 실험을 통해 다음과 같은 연구 목적을 달성하고자 한다. 첫째, 실험 1에서는 정신회전 능력이 심판 판정 능력에 어떠한 영향을 미치는지를 규명하는 것이다. 다이빙과 같이 회전 동작이 빈번하게 나타나는 종목에서 심판은 선수의 자세 변화와 회전축을 즉각적으로 해석해야 하므로, 정신회전 능력은 판정의 정확성과 직접적으로 연관된다(Voyer & Jansen, 2017). 또한 정신회전 능력은 움직임을 정확하게 예측하고 판단하는 과정과 밀접한 관련이 있으며(Song, 2018; Zona et al., 2019) 다이빙 심판의 판정 능력과의 관계를 실증 적으로 검증할 필요가 있다.
둘째, 실험 2에서는 정신회전 능력을 효과적으로 향상시킬 수 있는 훈련 방법을 탐색하고자 한다. 이를 위해 본 연구는 정신회전훈련(Mental Rotation Training: MRT)의 효과를 검증한다. MRT는 다양한 각도와 방향으로 제시되는 자극을 머릿속에서 회전시키는 과제를 반복적으로 수행함으로써 시각-공간 변환 능력과 방향 인지 능력을 강화하는 훈련이다(Shepard & Metzler, 1971; Meneghetti et al., 2017). 선행 연구에 따르면 MRT를 적용받은 집단은 정신회전 정확도가 유의하게 향상되었으며(Heil e t al., 1998), 이를 통해 운동선수의 경기 중 의사결정 정밀도 또한 개선된 바가 있다(Moreau, 2012; Faubert, 2013; Meneghetti et al., 2017). 이러한 결과를 토대로, 다이빙 심판에게도 MRT의 효과가 동일하게 나타나는지를 확인할 필요가 있다.
더 나아가, 정신회전 과제 수행에는 심상 과정이 동반된다는 연구 결과가 보고되어 있으며(Kosslyn et al., 2001), 특히 시각심상과 운동심상전략을 활용하여 정신회전 과제를 해결한다는 점(Corradi- Dell'Acqua et al., 2009)은 심상훈련이 정신회전 능력을 강화할 수 있는 근거가 된다. 따라서 실험 2에서는 정신회전훈련과 심상훈련이 정신회전 능력 향상에 미치는 효과를 실험적으로 검증하고자 한다. 이러한 시도는 다이빙 심판의 인지 기능의 중요성을 확인하는 동시에, 보다 체계적인 심판 교육 프로그램 개발을 위한 기초 자료를 제공할 것으로 기대된다.
실험 1
실험 1은 심판의 과거 경험(운동, 심판, 시각)과 정신회전 능력이 판정 정확성에 어떻게 기여하는지를 검증하는 데 목적이 있다.
연구방법
1. 연구대상
본 연구의 대상자는 대한수영연맹에 소속되어 있는 다이빙 심판으로서 1급(Level 1), 2급(Level 2), 3급(Level 3) 자격증을 소지하고 있고 수도권(서울, 경기, 인천)에 거주하는 심판 32명을 대상으로 편의 표집하였다. 연구대상자들의 특성은 <Table 1>과 같다.
Table 1
Participant characteristics(N =32)
| Category | Group | N | % |
|---|---|---|---|
|
|
|||
| Gender | Male | 13 | 40.6 |
| Female | 19 | 59.4 | |
|
|
|||
| Athletic Experience | Elite athlete | 24 | 75.0 |
| Masters athlete | 8 | 25.0 | |
|
|
|||
| Referee Level | Level 1 | 7 | 21.9 |
| Level 2 | 11 | 34.3 | |
| Level 3 | 14 | 43.8 | |
|
|
|||
| Total | 32 | 100 | |
연구대상자들의 운동경험, 심판경험, 시각경험은 <Table 2>에 제시된 바와 같이, 전문적으로 다이빙을 배웠던 운동경험은 평균 11.47년(SD =5.16)으로 나타났다. 심판으로서 실제 경기에 참여한 년도인 심판경험은 5.40년(SD =6.08)이며 일주일에 다이빙을 몇 회(15분 이상)보는지에 대한 시각경험은 평균 4.63회(SD =2.24)이다.
Table 2
Referees’ prior experience (Mean±SD)
| Min | Max | M | SD | |
|---|---|---|---|---|
|
|
||||
| Motor Exp | 1 | 22 | 11.47 | 5.16 |
| Judging Exp | 1 | 27 | 5.40 | 6.08 |
| Visual Exp | 1 | 7 | 4.63 | 2.24 |
2. 실험도구 및 과제
1) 과거경험 설문지 측정
심판의 과거경험을 측정하기 위해 Pizzera(2012)에 의해 제작되고 Park et al.(2023)의 연구에서 활용된 설문지를 본 연구의 목적에 맞게 수정 및 보완하여 사용되었다. 질문지는 3개 항목으로 운동경험 4문항(예: 다이빙을 전문적으로 _년 배웠다.), 심판경험 3문항(예: 현재 몇 급의 다이빙 심판 자격을 가지고 있습니까?), 시각경험 2문항(예: 나는 주_회 다이빙을 본다.)으로 구성하였다.
2) 정신회전검사
정신회전검사(Mental Rotation Test: MRT)에서 사용된 자극은 오른손과 왼손의 이미지로 서로 다른 각도(손등, 손바닥, 측면)로 촬영되었다. 자극 방향은 0˚부터 330˚위치까지 30˚의 간격으로 12 개의 방향을 제시하였다. 정신회전검사 자극은 객체중심 정신회전(Object-centered Mental Rotation: OMR)과 자기중심 정신회전(Egocentric-Mental Rotation: EMR)으로 구분되며 자극에 대한 예시는 <Fig. 1>과 <Fig. 2>와 같다.
OMR은 동시에 제공되는 두 개의 손 이미지 자극을 보고 같은 방향의 손인지, 다른 방향의 손인지 판단하는 과제이다. 참여자는 오른손 검지를 사용해 같은 방향이면 ‘O’, 다른 방향이면 ‘X’ 버튼을 키보드에 눌러야 한다. EMR은 한 개의 손 자극을 보고 오른손인지 왼손인지 판단하는 과제이며, 오른손이 정답이면 ‘M’버튼을 오른손 검지로, 왼손이 정답이면 ‘Z’버튼을 왼손 검지로 빠르고 정확하게 눌러야 한다.
MRT는 검은 배경 화면 중앙에 1.5초 동안 고정점 역할의 십자 표시가 제시되며, 참가자는 시선을 집중한다. 이후 자극(손 이미지)이 나타나면 참가자는 가능한 빠르게 자극과 일치하는 응답을 선택하여 입력한다. 자극은 응답이 입력될 때까지 계속 제시되며, 응답 버튼이 눌려지는 순간 화면이 자동으로 전환되어 응답에 대한 피드백이 제공된다. 피드백은 1초 동안 화면에 표시되며, 이후 새로운 자극이 제공된다. 제시되는 자극은 객체중심 자극 16개, 자기중심 자극 16개로 구성되어 있으며, 총 32개의 자극이다(Fig. 3).
3) 다이빙 심판 판정
심판이 판정할 때 사용된 영상은 실제 국제수영연맹(World Aquatics)이 주관한 올림픽(Olympic), 월드컵(World Cup), 세계선수권(World Championship)에서 촬영된 다이빙 기술 영상을 사용하였다. 비디오는 동영상 공유 웹 사이트에 업로드된 경기 영상이며, 사전에 기관 동의를 구하고 사용하였다. 영상은 PsychoPy 프로그램을 활용하여 참여자에게 제공되었으며<Fig. 4>, 선정된 기술은 남녀 선수의 3M 스프링 5개군(1~5번1)) 기술이다.
연구 참여자는 다이빙 기술 영상을 시청한 후 각 기술에 대해 판정을 하도록 요구되었다. 실험에서는 총 10개의 기술 영상이 제시되었으며, 참여자는 하나의 영상을 시청한 뒤 판정을 진행하였다. 영상 제시 전, 검은 배경 화면 중앙에 고정점 역할의 십자 표시가 1.5초 동안 나타나며, 시선을 집중한다. 이후, 다이빙 영상이 재생되며 참여자는 해당 기술을 즉각적으로 평가하고 점수를 입력한다. 점수 입력은 키보드를 통해 이루어졌으며, 평가 기준은 다음과 같다. 0점은 실패, 0.5~2점은 매우 부족, 2.5~4.5점은 부족, 5.0~6.5점은 만족, 7.0~8.0점은 좋음, 8.5~9.5점은 매우 좋음, 10점은 완벽이다. 점수 입력이 완료되면 자동으로 다음 기술 영상이 제시된다.
4) 자료 분석
본 연구에서는 정신회전검사와 다이빙 심판 판정 과제에서 각각의 수행 지표를 수집하였다. 정신회전검사에서는 정신회전 정확도(Mental Rotation Accuracy: MRA)와 과제 반응 시간(Reaction Time: RT)을 측정하였다. MRA는 제시된 자극에서 정답을 맞힌 비율(%)을 의미하며, RT는 자극이 제시된 시점부터 반응까지 소요된 시간으로 정의하였다.
다이빙 심판 판정 과제에서는 판정오차(Judgment Error: JE)와 판정시간(Judgment Time: JT)을 측정하였다. JE는 연구 참여자가 부여한 판정 점수에서 기준점수(실제 국제 대회 점수)를 뺀 값이며, JT는 자극이 끝난 시점부터 판정 점수 입력이 완료될 때까지의 시간을 의미한다.
본 연구는 시간적 반응보다는 복잡한 동작에 대한 인지적 정밀성과 정확성에 초점을 두었다. 실제 다이빙 경기에서 심판은 제한된 시간 내 즉각적인 판단을 요구받지만, 판정 속도가 빠르다고 해서 반드시 판정의 질이 더 우수하다고 보기는 어렵기 때문이다. 따라서 본 연구의 접근은 심판의 전문성을 평가하는 데 있어 보다 적절하다고 판단된다.
본 연구에서 수집된 자료는 SPSS(ver 29.0) 프로그램을 활용하여 빈도분석, 기술통계, 상관관계분석, 위계적 회귀분석 방법으로 분석하였다. 통계적 유의 수준은 .05로 설정하였다.
연구결과
1. 주요 변수 간 상관관계 분석
심판의 과거경험, 정신회전 정확도, 정신회전 RT, 판정오차, 판정시간 간 피어슨의 상관관계 분석을 실시한 결과는 <Table 3>과 같다.
Table 3
Correlation analysis among key variables
| Variable | 1 | 2 | 3 | 4 | 5 | 6 | 7 | 8 | 9 | |
|---|---|---|---|---|---|---|---|---|---|---|
|
|
||||||||||
| 1. | Motor Exp | 1 | ||||||||
| 2. | Judging Exp | .018 | 1 | |||||||
| 3. | Visual Exp | .007 | .163 | 1 | ||||||
| 4. | Egocentric MRA | .128 | .294 | -.027 | 1 | |||||
| 5. | Egocentric RT | .307 | .240 | -.323 | .285 | 1 | ||||
| 6. | Object MRA | .468** | -.118 | -.130 | .429* | .492** | 1 | |||
| 7. | Object RT | .279 | .280 | -.001 | .471** | .574** | .386* | 1 | ||
| 8. | JE | -.422* | -.218 | -.230 | -.163 | -.298 | -.446* | -.176 | 1 | |
| 9. | JT | .034 | .024 | -.060 | .192 | .516** | .175 | .352* | -.143 | 1 |
운동경험은 객체중심 정신회전 정확도(r =.468, p <.01)와 유의한 정(+)적 상관관계를 보였고 판정오차(r =-.422, p <.05)와는 유의한 부 (-)적 상관관계를 보였다. 또한 객체중심 정신회전 정확도는 판정오차(r =-.446, p <.05)와 유의한 부(-)적 상관관계를 보였다.
자기중심 정신회전 정확도는 객체중심 정신회전 정확도(r =.429, p <.05)와 유의한 정(+)적 상관관계를 보였다. 그리고 자기중심 정신 회전 RT는 객체중심 정신회전 정확도(r =.492, p <.01), 객체중심 정신 회전 RT(r =.574, p <.01), 판정시간(r =.516, p <.01)과 유의한 정(+)적 상관관계를 나타냈다. 마지막으로 객체중심 정신회전 RT는 판정시간(r =.352, p <.05)과 통계적으로 유의한 정(+)적 상관관계를 보였다.
2. 과거경험과 정신회전 정확도가 판정오차에 미치는 영향
심판의 과거경험과 정신회전 정확도가 다이빙 판정오차에 미치는 영향을 검증하기 위해 위계적 회귀분석을 실시하였다(Table 4).
Table 4
Hierarchical regression models for judging Error
| DV | IV | Model 1 | Model 2 | ||||||
|---|---|---|---|---|---|---|---|---|---|
|
|
|||||||||
| B | t | p | B | t | p | ||||
|
|
|||||||||
| JE | (Constant) | 1.025 | 6.619 | <.001 | 1.376 | 4.438 | <.001 | ||
| Motor Exp | -.023 | -.401 | -2.395* | .024 | -.010 | -.167 | -.893 | .380 | |
| Judging Exp | -.005 | -.112 | -.659 | .515 | -.012 | -.243 | -1.347 | .190 | |
| Visual Exp | -.028 | -.209 | -1.252 | .221 | -.033 | -.249 | -1.572 | .128 | |
| Ego-MRA | .003 | .131 | .688 | .497 | |||||
| Object-MRA | -.009 | -.485 | -2.292* | .030 | |||||
|
|
|||||||||
| F | 2.975 (p=.049) | 3.130 (p=.024) | |||||||
| △F | 2.975 (p=.049) | 2.791 (p=.080) | |||||||
| R2 | .242 | .376 | |||||||
| adjR2 | .160 | .256 | |||||||
그 결과, Durbin-Watson 통계량은 1.869 로 2에 근사한 값을 보여 잔차의 독립성 가정에 문제는 없는 것으로 평가되었고, 분산팽창 지수(Variance Inflation Factor: VIF)도 모두 10 미만으로 작게 나타나 다중공선성 문제는 없는 것으로 판단되었다.
1 단계(F =2.975, p =.049)와 2 단계(F =3.130, p =.024)에서 모두 통계적으로 유의하게 나타났으며, 회귀모형의 설명력은 1단계에서 24.2%(수정된 R 제곱은 16%)로 나타났다(R2=.242, adjR2=.160). 2 단계에서는 37.6%(수정된 R 제곱은 25.6%)로 증가했다(R2=.376, adjR2=.256). F 변화량은 2.791 로 나타났으며 통계적으로 유의하지 않았다(p =.080). 이는 추가된 정신회전 변수들이 모형의 설명력을 유의미하게 증가시키지 않았음을 나타낸다.
회귀계수의 유의성 검증 결과, 1단계에서는 운동경험이 판정 오차에 유의한 부(-)적 영향을 미치는 것으로 나타났다(β=-.401, p =.024). 즉, 운동경험이 많을수록 판정오차가 작아지는 것으로 검증되었다. 반면 심판경험(β=-.112, p =.515)과 시각경험(β=-.209, p =.221)은 판정오차에 유의한 영향을 미치지 않았다. 2단계에서 통제변수는 모두 통계적으로 유의하지 않았고, 정신회전 객체중심 정확도가 판정오차에 유의한 부(-)적 영향을 미치는 것으로 나타났다(β =-.485, p =.030). 그러나 정신회전 자기중심 정확도는 유의한 영향을 보이지 않았다(β=.131, p =.497).
논 의
심판의 운동경험(전문적으로 다이빙을 배운 년도)은 심판 판정을 정확하게 하는데 영향을 미치는 것으로 나타났다. 이는 체화된 선택 이론(Embodied choice theory)에서 제시한 바와 같이, 의사결정 과정이 신체적 경험에 의해 달라진다는 주장과 일치한다(Voigt et al., 2023). 즉, 다이빙을 직접 수행한 경험이 시각 정보 해석에 중요한 기반이 되며, 이는 심판의 전문성을 형성하는 핵심적인 요인 중 하나로 볼 수 있다(Kong & Lee, 2021).
그러나 위계적 회귀분석 결과, 정신회전 능력을 추가 변수로 포함시켰을 때 양상이 달라졌다. 객체중심 정신회전 정확도가 심판 판정을 정확하게 하는 것으로 나타났으며, 이때 운동경험의 효과는 통계적으로 유의하지 않았다. 이는 객체중심 정신회전이 심판의 시각-공간 처리 능력과 밀접하게 관련되어 있으며, 정보를 해석하고 판단하는 능력을 결정짓는 주요 인지 변수로 작용할 수 있음을 시사한다.
한편, 운동경험과 객체중심 정신회전 정확도 간의 정적 상관관계도 확인되었는데 이는 운동 전문성이 정신회전 능력 향상에 기여할 수 있다는 Klotzbier and Schott(2024)의 연구와도 일치하는 결과이다. 그러나 실제로 정신회전 과제 유형에 따라 활성화되는 뇌 영역이 다르다고 주장되어져 왔다. 객체중심 과제는 시각 정보처리 영역이, 자기 중심 과제에서는 운동감각과 관련된 뇌 영역이 더 활성화 된다고 하였으며(Zacks et al., 2003) 본 연구결과와 부분적으로 대조되었다.
실험 1에서는 심판의 판정 정확도를 높이는 요인으로 정신회전 능력을 밝혀냈으며, 이는 향후 심판 훈련 프로그램 개발 시, 정신회전 훈련의 필요성을 뒷받침하는 기초적인 자료로 활용될 것으로 기대한다.
실험 2
실험 1은 심판의 과거경험(운동, 심판, 시각)과 정신회전 능력에 판정 정확성에 어떤 영향을 미치는지 탐색하였다. 그 결과, 운동경험과 정신회전 능력 모두 판정오차 감소에 유의한 영향을 미친다는 결과를 확인하였다. 이는 심판에게 인지 및 감각 역량을 향상시키기 위한 훈련 가능성을 이론적으로 제시하였다. 특히, 정신회전 능력은 다이빙 심판의 시각적 정보를 정밀하게 해석하는 데 중요한 역할을 한다는 점에서 인지 기반 훈련 적용 가능성을 뒷받침한다.
그러나 실험 1은 이러한 능력이 실제 훈련 개입을 통해 향상될 수 있는지 실증적으로 검증하지 못하였다. 또한 현장 심판의 경우 현실적인 제약으로 고난이도 다이빙 기술 경험을 축적하기 어렵기 때문에 비신체적 개입전략, 즉 인지적 훈련 방식인 정신회전훈련과 심상훈련의 효과를 검증할 필요가 있다.
따라서 실험 2에서는 관찰+정신회전훈련(Observational + Mental Rotation Training: OMRT), 관찰+심상훈련(Observational + Imagery Training: OIT), 관찰훈련(Observational Training: OT) 이라는 구체적 훈련 개입을 통해 중재 조건 간의 효과 차이를 실험적으로 검증하는 것을 목적으로 한다.
연구방법
1. 연구대상
본 연구의 대상은 수도권(서울, 경기, 인천)에 거주하고 있는 초보 심판 9명을 편의표집하여 선정하였다(Table 5). 참여자는 실험 1에 참여하지 않았던 자로, 자발적으로 참여 의사를 밝힌 자 중에서 다음 기준에 부합하는 경우에 한해 포함하였다. ① 20대 이상-60대 이하 성인, ② 심판 자격 연수를 이수했지만 자격증 미소지자 또는 3급 심판 자격증 소지했지만 실제 심판으로 경기에 참여한 경험이 3회 미만인 자, ③ 다이빙을 전문적으로 배운 경험이 있는 자, ④ 오른손이 우세 손 인자, ⑤ 신체 건강에 이상 없는 자, ⑥주 3회, 총 7번의 실험 참여가 가능한 자로 선정하였다. 참여자들은 무선 배정으로 통해 OT(n=3), OIT(n=3), OMRT(n=3) 세 집단으로 구분되어 실험에 참여하였다.
Table 5
Information of participants in experiment 2 (N=9)
| Group | Judge | Gender | Age | Athletic Experience | Diving Participation | Referee Level | Refereeing Experience | Imagery Score(In/Ex) |
|---|---|---|---|---|---|---|---|---|
|
|
||||||||
| OMRT | A | Male | 55 | Masters athlete | 3.5years | Trained | X | 2.00 / 1.88 |
| B | Female | 42 | Masters athlete | 3years | Trained | X | 2.12 / 1.67 | |
| C | Male | 30 | Elite athlete | 10years | Level 3 | 3 | 1.25 / 1.33 | |
|
|
||||||||
| OIT | D | Male | 52 | Masters athlete | 15years | Level 3 | X | 1.04 / 1.00 |
| E | Female | 47 | Masters athlete | 2years | Trained | X | 1.83 / 2.25 | |
| F | Male | 58 | Masters athlete | 3years | Trained | X | 1.91 / 1.83 | |
|
|
||||||||
| OT | G | Female | 28 | Elite athlete | 12years | Level 3 | X | 1.04 / 1.25 |
| H | Female | 58 | Masters athlete | 10years | Level 3 | X | 2.30 / 1.83 | |
| I | Female | 30 | Elite athlete | 11years | Level 3 | 2 | 1.04 / 1.00 | |
2. 실험도구
1) 운동 장면 상상 검사 측정
운동 장면 상상 검사(Vividness of Movement Imagery Questionnaire: VMIQ)는 Isaac et al.(1986)에 의해 개발되고 Kim(2012)의 연구에서 심상훈련이 가능한지 확인하기 위해 사용되었다.
24개의 문항으로 선명하게 떠올리는 1점부터 동작을 상상할 수 없는 5점으로 측정된다. 평균 정상 VMIQ 점수는 2.26점으로, 본 연구에서도 심상능력이 평균 이상인 사람, 즉 2.26점 이하인 사람을 연구 대상자로 선정하였다.
2) 심상 후 심상 질문지 측정
심상 훈련 후, 참여자의 심상 이미지와 감각의 생생함을 어떻게 인식했는지 이해하기 위해 Majid(2018)의 연구에서 사용한 질문지를 본 연구의 목적에 맞게 수정 및 보완하여 사용하였다. 질문지를 통해 연구 참가자의 이미지 사용, 심상훈련 중 활용된 이미지 양식 유형, 심상훈련 참여 수준에 대해 평가하였다.
3. 실험설계
본 연구에서는 단일대상연구의 한 유형인 대상자 간 중다기초선설계(Multiple Baseline Design)를 채택하였다(Lee & Choi, 2012). 이 설계는 최소 두 명 이상의 연구 대상자에게 동일한 독립변인 중재를 제공하는 것을 조건으로 한다. 중다기초선설계는 중재 효과의 과정을 심층적으로 분석할 수 있으며, 개인차를 설명할 수 있다는 점에서 장점을 지닌다(Byeon, 2018b).
모든 참여자들은 기초선을 수립하고 중재구간을 도입한 후, 1주일 뒤 유지검사를 측정하였다. 또한 매 회기마다 기초선과 동일한 측정이 이루어졌다.
4. 실험중재 및 과제
1) 관찰+정신회전훈련(OMRT)
본 연구에서 사용한 정신회전 훈련은 Choi and Park(2006)의 프로그램 방법과 절차를 따랐다. 연구 참여자는 관찰훈련을 동일하게 진행하고 3분간 휴식 후, 정신회전 훈련(객체중심, 자기중심)을 진행하였다.
연구 참여자에게 제공될 자극은 무작위 설계(Random Design)되었으며 16가지 손 사진(오른손, 왼손의 옆면, 앞면, 뒷면)이 제시되는 것을 하나의 단위로, 총 10번 반복하는 것을 한 개의 블록으로 설정 하였고 총 세 블록을 시행하였다. 각 블록 당 훈련 시간은 5분이며 휴식시간은 2분 30초로 설정하였다. 훈련이 끝난 후, 5분간 휴식을 취하고 회기 별 측정을 실시하였다.
2) 관찰+심상훈련(OIT)
관찰+심상훈련은 Jung(2006)의 심상훈련 방법과 과정을 따랐다. 연구 참여자는 관찰훈련을 동일하게 진행하고 3분간 휴식 후, 심상훈련을 진행하였다. 관찰훈련에서 재생되었던 영상 중 3개의 영상이 심상훈련에 사용되었다. 참여자는 기술영상을 1회 보고 해당 기술을 연구자 음성 가이드에 따라 1회, 독립적으로 1회 떠올리는 것을 1개의 단위로 총 3번을 반복하였다.
심상훈련 내용은 회기가 거듭될수록 기술 동작 난이도가 올라갔으며 실제로 기술 수행 장면을 상상하는지 확인하기 위해 중간에 질문을 하는 방식을 사용하였다(Cho, 2007). 질문에 적절하게 응대하는 경우 운동 심상 훈련에 집중하고 있는 것으로 판단되었다. 훈련 시간은 15분을 넘기지 않았다(Ladda et al., 2021). 심상훈련이 끝나면 심상 후 심상 질문지를 1분간 작성하였고 5분간 휴식을 취하고 회기별 측정을 실시하였다.
3) 관찰훈련(OT)
관찰훈련은 Pizzera and Raab(2012), Kim et al.(2012)의 연구에 근거하여 설정하였다. 연구 참여자는 정면에 보이는 모니터에 나오는 다이빙 기술 영상을 보고 1개의 영상이 끝나면 마음속으로 해당 기술의 점수를 채점하도록 하였다. 영상은 15개로 구성되어 있으며 기술은 1~5개 군이다. 15개의 영상이 끝나면 5분간 휴식 시간을 취하고 회기 별 측정을 실시하였다.
5. 자료분석
본 연구는 매 회기마다 심판 판정의 판정오차와 정신회전 능력 데이터를 수집하여 다음과 같은 세 가지 방법으로 분석을 실시하였다.
첫째, 시각적 분석은 단일대상설계에서 중재의 효과를 판단하는 가장 기본적인 방법으로 평균수치(Mean), 한 구간에서 다음 구간까지의 수행 수준(Level), 수행 경향(Trend)을 분석하였다.
둘째, 시각적 분석을 통한 중재 효과를 검증하기 위해 일반적인 기술통계에 기반한 표준화된 평균 차이(Standardized Mean Difference: SMD) 방법을 사용하였다. SMD는 중재 구간의 평균값에서 기초선 구간의 평균값을 뺀 후, 이를 기초선 구간의 표준편차로 나눈 값으로 산출된다. 일반적으로 SMD 수치가 4.0을 초과하면 중재 효과가 있다고 해석할 수 있다(Byeon, 2018b).
셋째, 비모수적 효과 크기 지표인 비중복비율(Percentage of Non-overlapping Data: PND)을 활용하였다. PND는 중재 구간에서 기초선 구간의 최고점 또는 최저점을 초과한 자료점의 개수를 중재 구간의 전체 자료점 개수로 나눈 후, 이를 백분율(%)로 환산하여 산출한다(Byeon, 2018a; Lee & Choi, 2012).
연구결과
1. 다이빙 판정오차 변화
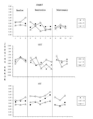
기초선, 중재, 유지 구간에 걸친 연구 참여자 9명의 다이빙 심판 판정오차 변화 양상은 <Fig. 5>와 같다.
1) 관찰+정신회전훈련(OMRT) 판정오차 변화
OMRT의 결과를 보면, A심판(PND=100, SMD=4.68), B심판(PND=80, SMD=2.08), C심판(PND=100, SMD=16.1) 모두 기초선 구간에 비해 독립변인 중재인 OMRT가 도입된 후에 판정오차가 현저히 감소한 것을 확인할 수 있었다. 즉, OMRT 중재가 심판 판정을 정확하게 하는데 큰 효과를 나타낸다는 것을 확인하였다(Table 6).
Table 6
Judging error in OMRT, OIT, OT (Mean and Range)
| Judge | Baseline | Intervention | Maintenance | PND(%) | SMD | |
|---|---|---|---|---|---|---|
|
|
||||||
| O | A | 0.86 (0.80-0.90) | 0.62 (0.53-0.77) | 0.57 (0.48-0.65) | 100 | 4.68 |
| M | B | 1.00 (0.90-1.20) | 0.64 (0.40-0.90) | 0.56 (0.47-0.72) | 80 | 2.08 |
| R | ||||||
| C | 0.68 (0.67-0.70) | 0.39 (0.27-0.62) | 0.56 (0.43-0.62) | 100 | 16.1 | |
| T | ||||||
|
|
||||||
| O | D | 0.97 (0.78-1.20) | 0.92 (0.68-1.18) | 0.88 (0.57-1.30) | 40 | 0.23 |
| I | E | 1.07 (0.93-1.27) | 0.72 (0.43-0.88) | 1.02 (0.87-1.10) | 100 | 2.06 |
| T | F | 1.11 (1.05-1.22) | 0.77 (0.43-1.22) | 0.99 (0.97-1.05) | 80 | 3.46 |
|
|
||||||
| O | G | 0.95 (0.90-0.97) | 1.02 (0.70-1.38) | 0.73 (0.63-0.87) | 40 | 1.75 |
| H | 1.08 (1.00-1.22) | 1.34 (1.22-1.58) | 1.19 (1.02-1.33) | 0 | 2.15 | |
| T | ||||||
| I | 0.74 (0.70-0.80) | 0.88 (0.75-0.97) | 0.68 (0.62-0.73) | 0 | 2.75 | |
2) 관찰+심상훈련(OIT) 판정오차 변화
OIT의 결과를 보면<Table 6>, D심판(PND=40, SMD=0.23), E심판(PND=100, SMD=2.06), F심판(PND=80, SMD=3.46) 모두 기초선 구간에 비해 독립변인 중재인 OIT가 제공된 후, 판정오차가 감소한 것을 확인할 수 있었다. 특히 E심판은 100%의 큰 중재효과를, F심 판은 80%의 중간정도 효과성을 나타냈다. 그러나 D심판은 기초선 구간보다 중재구간에서 판정오차가 줄어들었지만 40%의 낮은 중재 효과를 보이는 것으로 확인되었다.
3) 관찰훈련(OT) 판정오차 변화
OT의 결과를 종합해보면<Table 6>, 세 명의 초보 심판 모두 기초선 구간에 비해 독립변인 중재인 OT가 제공되었을 때 판정오차가 오히려 증가하는 것으로 나타났다. 이는 G심판(PND=40, SMD=1.75), H심판(PND=0, SMD=2.15), I심판(PND=0, SMD=2.75)에게 OT의 중재 효과가 낮은 것으로 볼 수 있다. 유지구간에서는 G심판과 I심판은 기초선 구간보다, H심판은 중재구간보다 판정오차가 감소되었다.
2. 자기중심 정신회전 정확도 변화
기초선, 중재, 유지 구간에 걸친 연구 참여자 9명의 자기중심 정신회전 정확도 변화 양상은 <Fig. 6>과 같다.
1) 관찰+정신회전훈련(OMRT) 자기중심 정신회전 정확도 변화
OMRT의 결과를 보면<Table 7>, A심판(PND=100, SMD=6.81), B심판(PND=100, SMD=17.94), C심판(PND=100, SMD=5.67) 모두 기초선 구간에 비해 독립변인 중재인 OMRT가 제공된 후, 자기중심 정신회전 정확도가 향상한 것을 확인할 수 있었다. 또한 모든 심판의 PND값은 100%로 나타났으며 SMD 수치도 4.0을 넘어 OMRT 중재가 자기중심 정신회전 능력을 높이는 데 크게 기여했다고 볼 수 있다.
Table 7
Ego-MRA in OMRT, OIT, OT (Mean and Range)
| Judge | Baseline | Intervention | Maintenance | PND(%) | SMD | |
|---|---|---|---|---|---|---|
|
|
||||||
| O | A | 66.67 (62.5-68.7) | 91.25 (75.0-100) | 95.83 (93.7-100) | 100 | 6.81 |
| M | B | 80.83 (80.0-81.2) | 93.75 (87.5-100) | 93.75 (87.5-100) | 100 | 17.94 |
| R | ||||||
| C | 64.58 (62.5-68.7) | 85.00 (75.0-93.7) | 95.83 (93.7-100) | 100 | 5.67 | |
| T | ||||||
|
|
||||||
| O | D | 79.17 (75.0-81.2) | 92.50 (75.0-100) | 85.42 (75.0-100) | 80 | 3.69 |
| I | E | 58.33 (56.2-62.5) | 70.00 (56.2-81.2) | 77.08 (68.7-81.2) | 80 | 3.25 |
| T | F | 66.67 (62.5-75.0) | 83.75 (81.2-87.5) | 89.58 (87.5-93.7) | 100 | 2.37 |
|
|
||||||
| O | G | 83.33 (81.2-87.5) | 95.00 (87.5-100) | 97.92 (93.7-100) | 80 | 3.25 |
| H | 97.92 (93.7-100) | 98.75 (93.7-100) | 97.92 (93.7-100) | 0 | 0.23 | |
| T | ||||||
| I | 83.33 (81.2-87.5) | 92.50 (87.5-100) | 95.83 (93.7-100) | 60 | 2.50 | |
2) 관찰+심상훈련(OIT) 자기중심 정신회전 정확도 변화
OIT의 결과를 보면<Table 7>, D심판(PND=80, SMD=3.69), E심판(PND=80, SMD=3.25), F심판(PND=100, SMD=2.37) 모두 기초선 구간에 비해 OIT 중재가 제공된 후, 자기중심 정신회전 정확도가 향상한 것을 확인하였다. 특히 F심판은 100%의 큰 중재효과를, D심판과 E심판은 중간정도 효과성을 나타냈다.
3) 관찰훈련(OT) 자기중심 정신회전 정확도 변화
OT의 결과를 확인해보면<Table 7>, 독립변인 중재인 OT가 자기 중심 정신회전 정확도에 낮은 수준으로 영향을 미치는 것으로 나타났다. G심판(PND=80, SMD=3.25), H심판(PND=0, SMD=0.23), I심판(PND=60, SMD=2.50)은 중재구간 정확도가 기초선보다 높아졌지만 유지구간에서 H심판의 정확도는 오히려 감소한 것으로 확인 되었다.
3. 객체중심 정신회전 정확도 변화
기초선, 중재, 유지 구간에 걸친 연구 참여자 9명의 객체중심 정신회전 정확도 변화 양상은 <Fig. 7>, <Table 8>과 같다.
Table 8
Object-MRA in OMRT, OIT, OT(Mean and Range)
| Judge | Baseline | Intervention | Maintenance | PND(%) | SMD | |
|---|---|---|---|---|---|---|
|
|
||||||
| O | A | 80.83 (80.0-81.2) | 87.50 (75.0-93.7) | 91.67 (87.5-93.7) | 80 | 9.62 |
| M | B | 66.67 (62.5-68.7) | 87.50 (75.0-93.7) | 93.75 (87.5-100) | 100 | 5.77 |
| R | ||||||
| C | 54.17 (50.0-56.2) | 65.00 (62.5-68.7) | 89.58 (87.5-93.7) | 100 | 3.00 | |
| T | ||||||
|
|
||||||
| O | D | 81.25 (75.0-87.5) | 86.25 (75.0-100) | 85.42 (81.2-93.7) | 40 | 0.80 |
| I | E | 60.42 (50.0-75.0) | 51.25 (37.5-62.5) | 62.50 (56.2-68.7) | 0 | 0.71 |
| T | F | 70.83 (62.5-75.0) | 85.00 (62.5-100) | 97.92 (93.7-100) | 80 | 1.96 |
|
|
||||||
| O | G | 66.67 (62.5-68.7) | 93.75 (75.0-100) | 95.83 (93.7-100) | 100 | 7.52 |
| H | 75.00 (62.5-87.5) | 70.00 (56.2-81.2) | 83.33 (75.0-87.5) | 0 | 0.40 | |
| T | ||||||
| I | 77.08 (75.0-81.2) | 85.00 (75.0-93.7) | 87.50 (81.2-93.7) | 60 | 2.20 | |
1) 관찰+정신회전훈련(OMRT) 객체중심 정신회전 정확도 변화
OMRT 결과를 보면<Table 8>, A심판(PND=80, SMD=9.62), B심판(PND=100, SMD=5.77), C심판(PND=100, SMD=3.00) 모두 기초선 구간에 비해 OMRT 중재가 제공된 후, 객체중심 정신회전 정확도가 점수가 향상되었다. 또한 중재구간보다 유지구간에서 높은 정확도 점수가 나타났다. 두 명의 심판의 PND 수치는 4.0을 넘어 OMRT 중재가 객체중심 정신회전 능력을 높이는 데 영향을 미쳤다고 볼 수 있다.
2) 관찰+심상훈련(OIT) 객체중심 정신회전 정확도 변화
OIT의 결과를 보면<Table 8>, D심판(PND=40, SMD=0.80), F심판(PND=80, SMD=1.96)은 OIT 중재가 제공된 후, 객체중심 정신회전 정확도가 향상된 것으로 확인되었으며 F심판은 중간정도의, D심 판은 낮은 중재효과를 보였다. E심판(PND=0, SMD=0.71)의 경우, 중재가 도입되고 오히려 객체중심 정신회전 정확도가 낮아졌지만 유지구간에는 기초선 보다 높은 수준의 정확도를 보였다. E심판은 낮은 수준의 중재 효과를 나타냈다.
3) 관찰훈련(OT) 객체중심 정신회전 정확도 변화
OT의 결과를 보면<Table 8>, G심판(PND=100, SMD=7.52)은 높은 중재 효과를, H심판(PND=0, SMD=0.40)은 낮은 중재 효과를, I심판(PND=60, SMD=2.20)은 중간 정도의 중재 효과를 확인하였다. 세 심판 모두 기초선과 중재구간보다 유지구간에서 객체중심 정신회전 정확도가 향상된 경향이 나타났다.
논의
실험 2에서는 초보 다이빙 심판을 대상으로 OMRT, OIT, OT를 적용하여 심판 판정오차와 정신회전 정확도에 미치는 영향을 보고자 하였다. 분석 결과, 중재 유형에 따라 종속변인의 변화가 달랐으며 이는 각각의 인지전략이 심판 수행에 미치는 영향을 실증적으로 입증하는 결과로 볼 수 있다. 연구의 결과를 토대로 다음과 같은 논의를 하고자 한다.
첫째, OMRT는 판정오차 감소와 정신회전 정확도 향상에 두드러진 효과를 보였다. 특히, 객체중심과 자기중심 정신회전 정확도에서 모든 참여자의 PND가 100%에 가까운 큰 중재 효과를 나타냈다. 다이빙 심판은 선수의 높이, 위치, 속도 등을 2초 안에 평가해야하며 입체적인 사고와 예측 기반의 전략이 필수적이다. 실제로 정신회전은 3차원적인 사고를 이해하는 데 도움을 준다고 하였으며(Frahan et al., 2023), OMRT를 통해 인지자원(운동계획, 시공간 예측, 시뮬레이션 능력 등) 이 활성화 되어 심판 수행의 정밀성을 향상시킨 것으로 보인다.
둘째, OIT는 중간정도의 판정오차 감소와 정신회전 정확도 향상을 보였다. Fortes et al.(2020)은 심상훈련이 최적의 의사결정을 하는데 중요한 도구로 활용될 수 있다는 주장을 부분적으로 지지하는 결과이다. 그러나 D심판의 경우, 낮은 중재효과가 나타났는데 이는 사전 심상의 점수가 이미 만점에 가까운 수준에 있어서 심상의 '천장효과(Ceiling Effect)'가 작용했을 것으로 해석된다. 이는 심상훈련의 개입효과가 개인의 심상능력에 따라 달라질 수 있음을 시사하며, 향후 심판 훈련을 설계할 때 개별 맞춤형 전략이 요구된다.
셋째, OT는 판정오차 감소와 정신회전 정확도 향상에 낮은 중재 효과를 나타냈으며 오히려 중재구간에서 판정오차가 늘어나는 경향을 보였다. 이는 다이빙을 단순히 눈으로 보는 것만은 판단 전략으로 활용하는데 한계가 있다고 보며, 실제 심판 업무는 ‘보는 것’ 이상의 복합적 인지/감각 처리를 요구한다고 해석할 수 있다. García- González et al.(2013)의 연구에서도 운동 수행을 관찰하기만 한 집단은 의사결정 정확도 개선에 유의한 영향을 미치지 못한다고 보고하 였으며 본 연구의 결과를 지지하는 바이다.
유지효과 측면에서도 OMRT와 OIT는 개입 종료 후에도 판정오차와 정신회전 정확도가 상당 부분 유지된 반면, OT는 일관성 있는 유지효과를 보이지 못했다. 이러한 결과는 단순한 시각적 관찰 중심의 심판 교육 방식의 한계를 드러냄과 동시에, 정신회전과 심상훈련과 같은 인지 기반 전략의 필요성을 시사한다.
종합논의
본 연구는 다이빙 심판에게 정신회전훈련과 심상훈련이 다이빙 심판 판정 정확도와 정신회전 능력에 미치는 영향을 탐구하고자 두 개의 실험을 수행하였다. 실험 1에서는 숙련된 심판을 대상으로 과거 경험(운동, 시각, 심판)과 정신회전 능력이 심판 판정오차와 어떤 관계가 있는지 확인하였고 실험 2에서는 초보 심판에게 세 가지 중재(OMRT, OIT, OT)를 개입하여 판정오차와 정신회전 정확도의 변화를 실험적으로 검증하였다. 두 실험 결과를 종합적으로 검토한 결과, 다음과 같은 논의를 제시한다.
첫째, 실험 1과 실험 2 모두에서 정신회전 능력이 다이빙 심판 판정의 정확성을 결정하는 핵심 요인으로 작용하였다. 다이빙 심판은 다양한 각도에서 빠르게 회전하는 선수의 위치와 자세를 정밀하게 평가해야 하므로, 시각-공간 변환 능력이 필수적이다(Jansen & Lehman, 2013). Zacks(2008)는 정신회전 과제 수행 시 뇌의 운동 계획 및 예측과 관련된 영역이 활성화 된다는 점을 발견하였으며, 이는 심판이 선수 동작을 단순히 관찰하는 수준을 넘어 다음 동작과 결과를 미리 예측할 수 있음을 시사한다. 본 연구 결과 또한 이러한 맥락과 일치하며, 정신회전 능력이 선수의 자세 변화와 입수 각도를 세밀하게 평가하는 데 직접적으로 기여한 것으로 해석된다.
둘째, 운동경험이 심판의 판정오차를 줄이는 데 영향을 준 것으로 나타났다. 이는 심판의 과거 다이빙 참여 경험이 감각운동 시스템을 활성화하여 판정을 더 정확하게 할 수 있도록 도와준다는 것을 의미한다(Lepora & Pezzulo, 2015; Raab, 2020). Dosseville et al.(2011)의 연구에서도 유도 심판이 선수들의 움직임을 판단할 때 과거에 학습한 유도 경험을 바탕으로 선수의 기술 의도를 시뮬레이션 하여 보다 정교한 판단을 내릴 수 있다고 하였다. 이는 심판이 동적이고 불확실한 상황에서 신체적인 단서를 활용하여 빠르고 효율적인 결정을 내린다는 Voigt et al.(2023)의 연구 결과를 지지하는 바이다.
그러나 실험 1의 회귀분석 결과에 따르면, 초기 회귀모형에서는 운동경험이 판정오차에 유의한 영향을 미쳤지만 정신회전능력을 추가한 모형에서는 그 효과가 통계적으로 유의하지 않았다. 이는 정신회 전 능력이 운동경험과 인지적 자원을 부분적으로 공유하고 있으면서도, 실제 판정에서 더 직접적인 요인으로 작용한다고 생각된다. 즉, 운동경험이 시각-공간 인지 능력의 기반이 될 수 있지만, 실제 다이빙 심판 판정 상황에서 중요한 것은 그 경험 자체보다, 경험을 통해 형성된 정신회전 능력일 수 있다.
셋째, 실험 2의 정신회전 훈련은 객체중심과 자기중심 정신회전 정확도에 대한 중재 효과를 보였다. 특히 자기중심 정신회전 정확도의 경우, 세 명의 참여자의 PND 수치가 100%로 확인되었으며 중재 후 유지구간에서도 그 효과가 지속되었다. 본 연구에서 훈련을 제공할 때, 객체중심과 자기중심 자극 모두 제공하였음에도 불구하고 자기중심 정신회전 정확도가 큰 향상을 보였던 결과는, 초보 심판일수록 운동감각 기반의 정신회전 시뮬레이션 활용도가 높아졌다고 볼 수 있다(Voyer et al., 2017). 그러나 실험 1에서 숙련된 심판은 객체중심 정신회전 정확도가 높을수록 판정 정확도가 높은 경향을 보였다.
이러한 결과를 종합하면, 숙련된 심판은 객체중심 정신회전 과제 해결과 유사하게 독립적인 자극 변환 능력과 내면화된 시각적 이미지를 활용하여 정밀한 판정을 수행한 것으로 해석할 수 있다(Kosslyn et al., 2001). 즉, 다년간 판정 경험을 통해 동작에 대한 정교한 시각적 이미지를 구축하고, 이를 새로운 자극과 비교하는 기준 모델로 활용함으로써 효율적인 판단이 가능했을 것으로 보인다(Voyer et al., 2017). 반면, 초보 심판은 과거 다이빙 경험에서 비롯된 암묵적 기억에 의존하며, 자기중심적 시점 변환을 통해 자극을 해석했을 가능성이 크다(Amorim et al., 2006). 따라서 동일한 움직임 자극을 판단 하더라도 심판 경력의 수준에 따라 판정에 사용하는 인지 전략이 다르다는 실험적 근거를 제시하는 바이다(Wraga et al., 2005), 이러한 맥락에서 후속 연구에서는 집단 설계를 통해 숙련도에 따른 훈련 효과를 규명할 필요가 있다.
넷째, 정신회전 능력을 강화하기 위해 심상훈련을 적용하였고 심상 훈련이 자기중심과 객체중심 정신회전 각각에 다르게 영향을 미치는 것을 확인하였다. 우선 자기중심 정신회전 정확도는 심상훈련을 통해 향상되었다. 심상은 움직임을 실제로 수행하지 않더라도 해당 동작을 내적으로 시뮬레이션하는 과정으로, 운동감각 체계가 활성화되는 것으로 알려져 있다(Grosprêtre et al., 2016). 이는 자기중심 정신회전의 수행 메커니즘과 유사하다고 볼 수 있다. 자기중심 정신회전 과제에서 판단자는 관찰된 자극을 자신의 신체 위치를 기준으로 변환하는 인지 과정을 진행하며 공간 위치의 변환뿐 아니라, 운동감 시뮬레이션을 수반한다고 밝혀졌다(Zacks, 2003; Wraga et al., 2005). 또한 Wraga et al.(2005)의 fMRI 연구에서 자기중심 정신회전 과제 수행 시 운동 관련 부위가 활발히 활성화되는 것을 보여주었으며, 이 과정이 단순 시각처리와는 다른 운동기반의 전략임을 입증하였다. 그러나 심상훈련이 객체중심 정신회전 정확도에는 일부 참여자에서만 긍정적인 영향을 미쳤으며, 효과의 정도도 상대적으로 작았다. 이는 심상훈련이 운동감각 기반 자극 처리에는 효과적이지만 시각 기반 정보 처리에는 다소 한계가 있을 수 있음을 시사한다(Jansen & Lehmann, 2013).
결 론
본 연구는 다이빙 심판의 판정 능력에 있어 정신회전과 심상훈련의 효과를 탐색하였다. 그 결과, 정신회전 능력은 복잡한 다이빙 동작을 보다 정밀하게 해석하고 판단하는 데 기여하는 핵심 요인으로 확인되었다. 이러한 결과는 시각적 관찰 훈련에만 의존해 온 기존 심판 교육의 한계(Park et al., 2023)를 보완할 수 있음을 보여주며, 정신회전 및 심상훈련의 도입 필요성을 시사한다. 나아가 시간과 공간 제약 속에서도 심판의 판단 능력을 효과적으로 향상시킬 수 있는 교육적 대안을 제시한다는 점에서 학문적, 실천적 의의를 지닌다.
최근 심판의 객관성과 정확성에 대한 요구로 인공지능(AI) 판정 시스템이 도입되고 있으나 다이빙, 체조와 같이 예술성 및 동작의 질을 평가하는 종목에서는 AI만으로는 세밀한 판단이 어려울 수 있다. 이에 따라 인간 심판의 판단 능력은 여전히 중요한 역할을 수행하며, 이를 강화하기 위한 인지적·신체적 훈련 기반의 심판 교육 프로그램 개발이 필요하다. 따라서 향후 연구에서는 다양한 종목과 심판 집단을 포함한 장기적인 연구를 통해 훈련의 효과를 검증할 필요가 있을 것이다.
AUTHOR CONTRIBUTION
Conceptualization: Seong-a Park, Seungha Park, Data curation: Seong-a Park, Formal analysis: Seong-a Park, Methodology: Seong-a Park, Seungha Park, Project administration: Seong-a Park, Seungha Park, Visualization: Seong-a Park, Writingoriginal draft: Seong-a Park, Writing-review & editing: Seong-a Park, Seungha Park